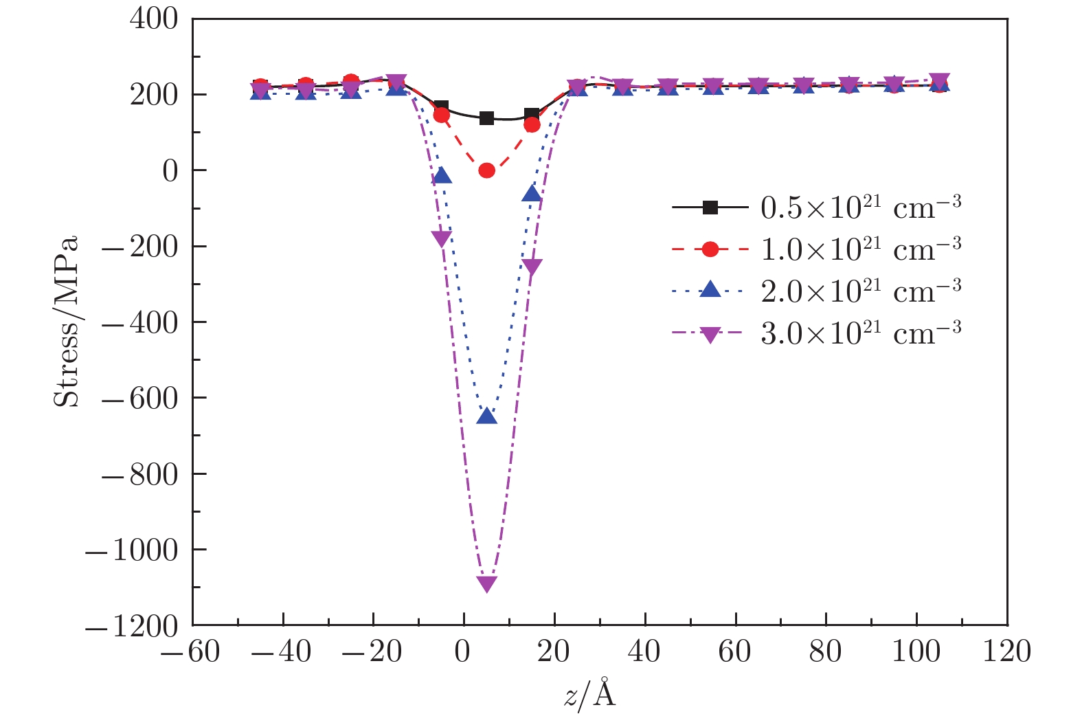
| [1] |
桑丽霞, 李志康.Au-TiO2光电极界面声子热输运特性的分子动力学模拟. 必威体育下载 , 2024, 73(10): 103105.doi:10.7498/aps.73.20240026 |
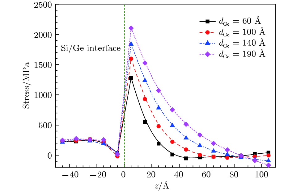
| [2] |
张硕, 龙连春, 刘静毅, 杨洋.分子动力学方法研究缺陷对铁单质薄膜磁致伸缩的影响. 必威体育下载 , 2021, (): .doi:10.7498/aps.70.20211177 |
| [3] |
朱琪, 王升涛, 赵福祺, 潘昊.层错四面体对单晶铜层裂行为影响的分子动力学研究. 必威体育下载 , 2020, 69(3): 036201.doi:10.7498/aps.69.20191425 |
| [4] |
梅涛, 陈占秀, 杨历, 朱洪漫, 苗瑞灿.非对称纳米通道内界面热阻的分子动力学研究. 必威体育下载 , 2020, 69(22): 224701.doi:10.7498/aps.69.20200491 |
| [5] |
胡海洋, 陈吉堃, 邵飞, 吴勇, 孟康康, 李志鹏, 苗君, 徐晓光, 王嘉鸥, 姜勇.应力下SmNiO3钙钛矿氧化物薄膜材料的电导与红外光电导. 必威体育下载 , 2019, 68(2): 026701.doi:10.7498/aps.68.20181513 |
| [6] |
李锐, 刘腾, 陈翔, 陈思聪, 符义红, 刘琳.界面结构对Cu/Ni多层膜纳米压痕特性影响的分子动力学模拟. 必威体育下载 , 2018, 67(19): 190202.doi:10.7498/aps.67.20180958 |
| [7] |
兰生, 李焜, 高新昀.基于分子动力学的石墨炔纳米带空位缺陷的导热特性. 必威体育下载 , 2017, 66(13): 136801.doi:10.7498/aps.66.136801 |
| [8] |
简小刚, 张允华.温度对金刚石涂层膜基界面力学性能的影响. 必威体育下载 , 2015, 64(4): 046701.doi:10.7498/aps.64.046701 |
| [9] |
王成龙, 王庆宇, 张跃, 李忠宇, 洪兵, 苏折, 董良.SiC/C界面辐照性能的分子动力学研究. 必威体育下载 , 2014, 63(15): 153402.doi:10.7498/aps.63.153402 |
| [10] |
刘海, 李启楷, 何远航.CL20-TNT共晶高温热解的ReaxFF/lg反应力场分子动力学模拟. 必威体育下载 , 2013, 62(20): 208202.doi:10.7498/aps.62.208202 |
| [11] |
王建伟, 宋亦旭, 任天令, 李进春, 褚国亮.F等离子体刻蚀Si中Lag效应的分子动力学模拟. 必威体育下载 , 2013, 62(24): 245202.doi:10.7498/aps.62.245202 |
| [12] |
柯川, 赵成利, 苟富均, 赵勇.分子动力学模拟H原子与Si的表面相互作用. 必威体育下载 , 2013, 62(16): 165203.doi:10.7498/aps.62.165203 |
| [13] |
唐翠明, 赵锋, 陈晓旭, 陈华君, 程新路.Al与α-Fe2O3纳米界面铝热反应的从头计算分子动力学研究. 必威体育下载 , 2013, 62(24): 247101.doi:10.7498/aps.62.247101 |
| [14] |
周化光, 林鑫, 王猛, 黄卫东.Cu固液界面能的分子动力学计算. 必威体育下载 , 2013, 62(5): 056803.doi:10.7498/aps.62.056803 |
| [15] |
张忠强, 丁建宁, 刘珍, Y. Xue, 程广贵, 凌智勇.碳纳米管-聚乙烯复合材料界面力学特性分析. 必威体育下载 , 2012, 61(12): 126202.doi:10.7498/aps.61.126202 |
| [16] |
贺平逆, 宁建平, 秦尤敏, 赵成利, 苟富均.低能Cl原子刻蚀Si(100)表面的分子动力学模拟. 必威体育下载 , 2011, 60(4): 045209.doi:10.7498/aps.60.045209 |
| [17] |
杨平, 吴勇胜, 许海锋, 许鲜欣, 张立强, 李培.TiO2/ZnO纳米薄膜界面热导率的分子动力学模拟. 必威体育下载 , 2011, 60(6): 066601.doi:10.7498/aps.60.066601 |
| [18] |
陈敏, 侯氢.分子动力学方法研究钛中预存缺陷对氦融合的影响. 必威体育下载 , 2010, 59(2): 1185-1189.doi:10.7498/aps.59.1185 |
| [19] |
周宗荣, 王 宇, 夏源明.γ-TiAl金属间化合物面缺陷能的分子动力学研究. 必威体育下载 , 2007, 56(3): 1526-1531.doi:10.7498/aps.56.1526 |
| [20] |
戴永兵, 沈荷生, 张志明, 何贤昶, 胡晓君, 孙方宏, 莘海维.金刚石/硅(001)异质界面的分子动力学模拟研究. 必威体育下载 , 2001, 50(2): 244-250.doi:10.7498/aps.50.244 |