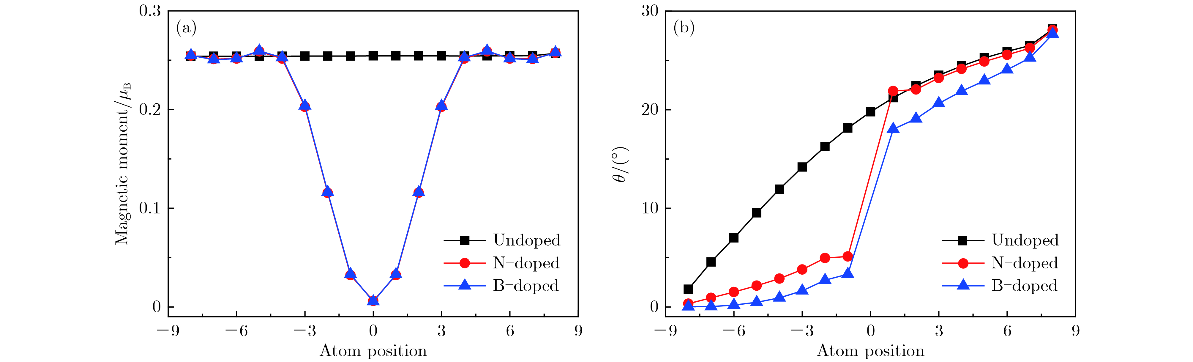
Zigzag graphene nanoribbon (ZGNR) is important for novel carbon-based spintronic applications. Currently, most of ZGNR spintronic studies focus on the collinear magnetism where the up-spin and down-spin are separated clearly. But in some cases, e.g. doping and adsorption, the magnetization profile can be modulated and thus noncollinear magnetism can occur. In order to shed light on possible noncollinear magnetism in ZGNR, we study non-collinear magnetism and electronic transport of boron or nitrogen-doped zigzag graphene nanoribbon based on noncollinear density functional theory and non-equilibrium Green's function method. For pristine ZGNR, our results show that the ZGNR presents helical magnetization distribution due to noncollinear magnetization in left and right lead. As the ZGNR is doped with boron and nitrogen atoms, the ZGNR shows a characteristic two-zone feature in the magnetization distribution. Near the dopant site, the magnetic moment of carbon atom is small. However, the magnetic moments of carbon atoms in the left (right) region of dopant are close to those of the left (right) lead. Such a feature provides the possibility of constructing domain walls with various widths on the edge of ZGNR. Moreover, the transmission at the Fermi level (
E= 0 eV) decreases with the increase of relative angle between magnetizations of left and right lead, indicating that the spin-flip scattering dominates the electronic transport. However, at
E= ±0.65 eV, there is a transmission dip with low transmission, which implies that the dopant induces the strong backscattering. To understand the origin of this dip, we calculate the density of states (DOS) and project the DOS onto each atom of doped ZGNR. The projected DOS shows a large and broad peak at
E= −0.65 eV for N-doped ZGNR but at
E= +0.65 eV for B-doped ZGNR. The consistency between the position of dip in transmission and the position of peak in DOS indicates that the transmission dip mentioned above is attributed to strong backscattering from the dopant-induced bound state. Our theoretical results are expected to be useful for understanding the noncollinear magnetism and spin scattering in the doped ZGNR-based devices. Also, our work provides a considerable insight into the design of ZGNR-based nanoelectronic devices, such as the transistor based on spin transfer torque effect.