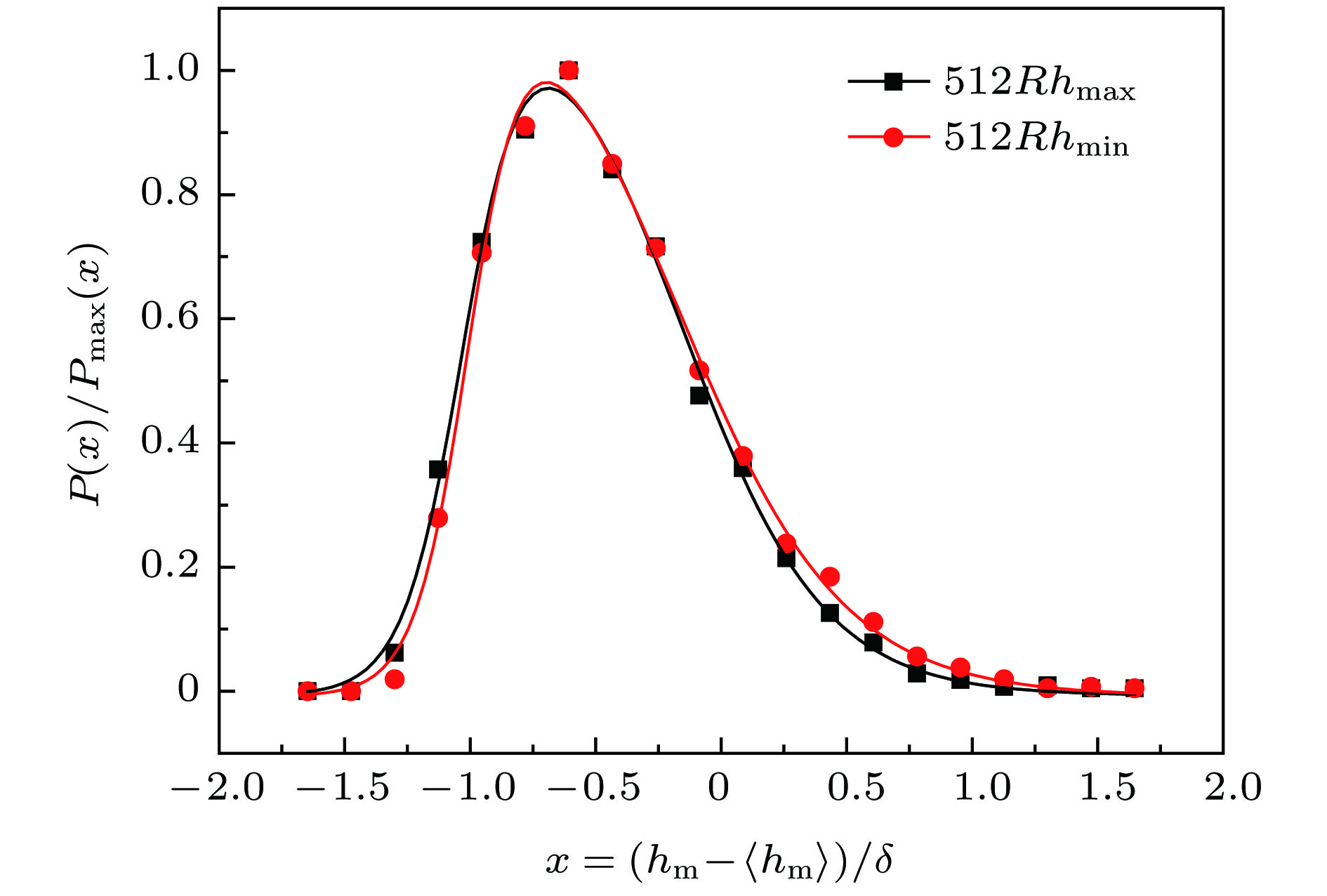
\begin{document}$\alpha = 0.911 \pm 0.005$\end{document}\begin{document}${\alpha _{{\rm{loc}}}} = 0.808 \pm 0.003$\end{document}, 这两者之间的明显差异表明熔断面具有奇异标度性. 通过对熔断面极值高度的分析发现, 熔断面高度的极值统计分布能很好地满足Asym2sig型分布, 而不是最常见的三种极值统计分布. 本文的研究表明, 随机电阻丝模型在模拟非均匀材料的电流熔断过程和熔断表面标度性的分析中同样适用和有效."> - 必威体育下载

搜索

x

留言板

姓名
邮箱
手机号码
标题
留言内容
验证码

downloadPDF
引用本文:
Citation:

    李瑞涛, 唐刚, 夏辉, 寻之朋, 李嘉翔, 朱磊

    Numerical simulation of melting dynamic process and surface scale properties of two-dimensional honeycomb lattice

    Li Rui-Tao, Tang Gang, Xia Hui, Xun Zhi-Peng, Li Jia-Xiang, Zhu Lei
    PDF
    HTML
    导出引用
    计量
    • 文章访问数:6400
    • PDF下载量:36
    • 被引次数:0
    出版历程
    • 收稿日期:2018-09-27
    • 修回日期:2018-11-24
    • 上网日期:2019-03-01
    • 刊出日期:2019-03-05

      返回文章
      返回
        Baidu
        map