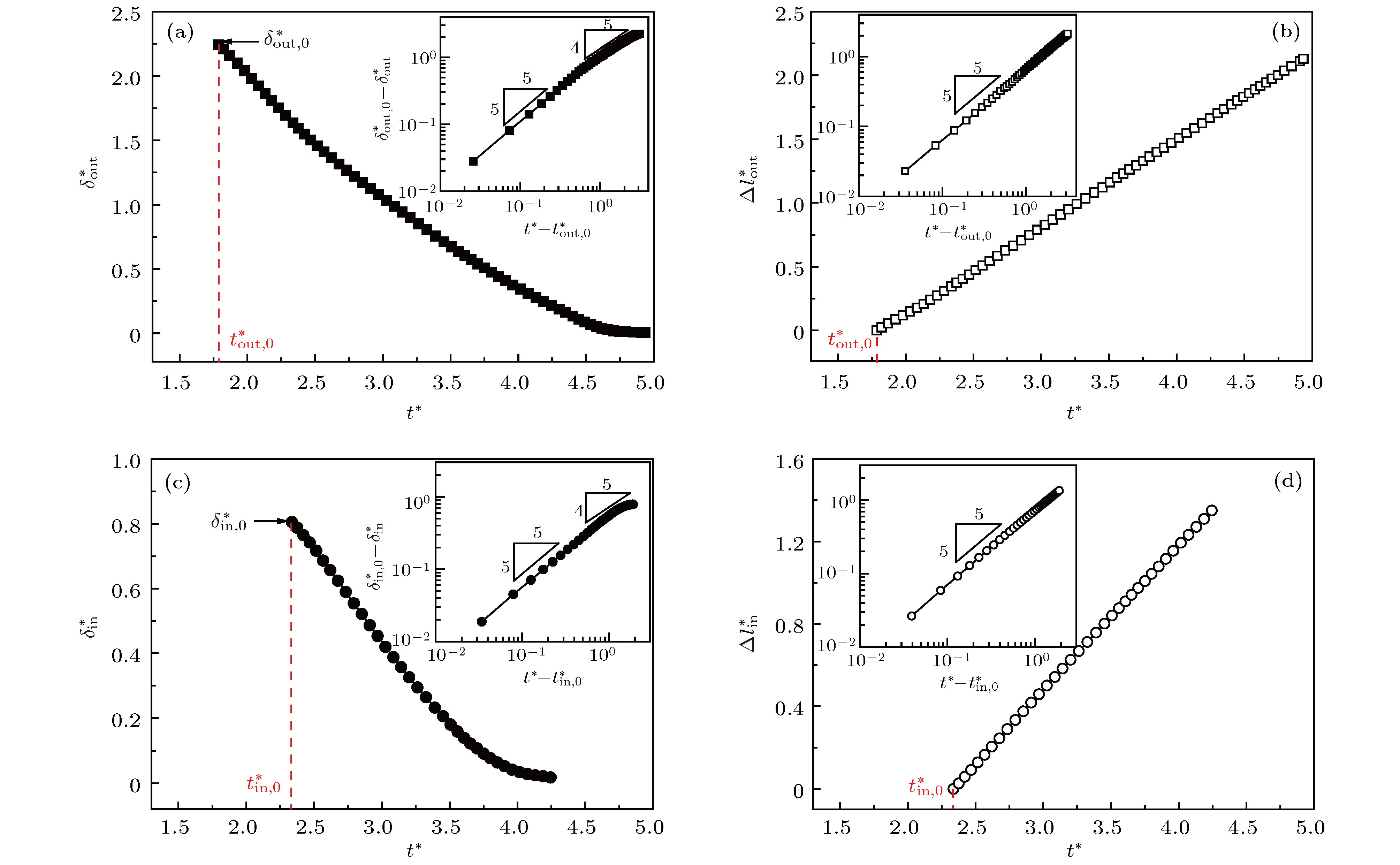
A scheme of passive breakup of generated droplet into two daughter droplets in a microfluidic Y-junction is characterized by the precisely controlling the droplet size distribution. Compared with the T-junction, the microfluidic Y-junction is very convenient for droplet breakup and successfully applied to double emulsion breakup. Therefore, it is of theoretical significance and engineering value for fully understanding the double emulsion breakup in a Y-junction. However, current research mainly focuses on the breakup of single phase droplet in the Y-junction. In addition, due to structural complexity, especially the existence of the inner droplet, more complicated hydrodynamics and interface topologies are involved in the double emulsion breakup in a Y-junction than the scenario of the common single phase droplet. For these reasons, an unsteady model of a double emulsion passing through microfluidic Y-junction is developed based on the volume of fluid method and numerically analyzed to investigate the dynamic behavior of double emulsion passing through a microfluidic Y-junction. The detailed hydrodynamic information about the breakup and non-breakup is presented, together with the quantitative evolutions of driving and resistance force as well as the droplet deformation characteristics, which reveals the hydrodynamics underlying the double emulsion breakup. The results indicate that the three flow regimes are observed when double emulsion passes through a microfluidic Y-junction: obstructed breakup, tunnel breakup and non-breakup; as the capillary number or initial length of the double emulsion decreases, the flow regime transforms from tunnel breakup to non-breakup; the upstream pressure and the Laplace pressure difference between the forefront and rear droplet interfaces, which exhibit a correspondence relationship, are regarded as the main driving force and the resistance to double emulsion breakup through a microfluidic Y-junction; the appearance of tunnels affects the double emulsion deformation, resulting in the slower squeezing speed and elongation speed of outer droplet as well as the slower squeezing speed of inner droplet; the critical threshold between breakup and non-breakup is approximately expressed as a power-law formula
${l^*} = \beta C{a^b}$
, while the threshold between tunnel breakup and obstructed breakup is approximately expressed as a linear formula
${l^*} = \alpha $
; comparing with the phase diagram for single phase droplet, the coefficients
$\alpha $
and
$\beta $
of the boundary lines between the different regimes in phase diagram for double emulsion are both increased.