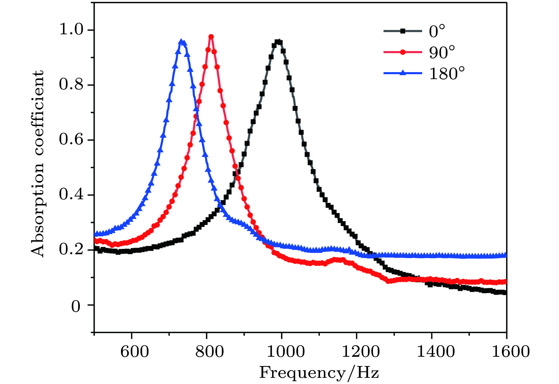
Low frequency noise is always an important factor affecting people’s quality of life. At present, the most widely used sound absorbing materials include polyurethane foam, trimeric amine, mineral cotton, textiles, cotton and special sound insulation materials. However, the sizes of these materials are generally large, and the sound absorption efficiencies are often low, especially in a low frequency range (below 2000 Hz). Acoustic metamaterial is a kind of artificial composite material, which is constructed by microunits whose dimensions are much smaller than the working wavelength. The results show that if the strong coupling condition between the resonant scatter and the waveguide is satisfied, the sound energy flowing through the metamaterial will be completely offset by the internal loss of the resonant scatter. Therefore, it is believed that this kind of acoustic metamaterial can solve the absorption problem of low-frequency sound waves. In order to solve this problem, researchers have conducted a lot of exploratory researches. However, most of the structural units that are constructed with acoustic metamaterials are passive, that is, once the material is processed and shaped, its properties are fixed and cannot be changed. This defect greatly limits the development of acoustical metamaterials, so it is urgent to study acoustical metamaterials whose material properties and the working frequency bands are flexibly adjustable. Although tunable acoustic metamaterials have been studied, few people have extended this research to the field of low-frequency tunable sound absorption. In our previous work, we systematically studied the acoustic properties of two kinds of acoustic artificial " meta-atoms”, namely, open hollow sphere model with negative equivalent elastic modulus and hollow tube model with negative equivalent mass density. The research shows that these two kinds of " meta-atoms” both have obvious sound absorption effect. According to our previous studies, in this paper we couple these two kinds of " meta-atoms” into a whole, and design a new nested model of open loop. The model has the advantages of simple structure and easy preparation. Through theoretical analysis, numerical simulation and experimental testing, it is found that the strong coupling resonance effects between these " meta-atoms” can be excited by the low frequency incident acoustic wave in the nested structure, thus achieving nearly perfect sound energy absorption. In addition, the relative impedance of the metamaterial can be changed by simply rotating the inner splitting ring around the axis, therefore the position of the absorption peak can be freely controlled in a wide frequency band. Because of its deep sub-wavelength size, the metamaterial is very useful for miniaturizing and integrating the low-frequency acoustic absorption devices. What is more, this model also lays a foundation for designing the broadband absorbers.