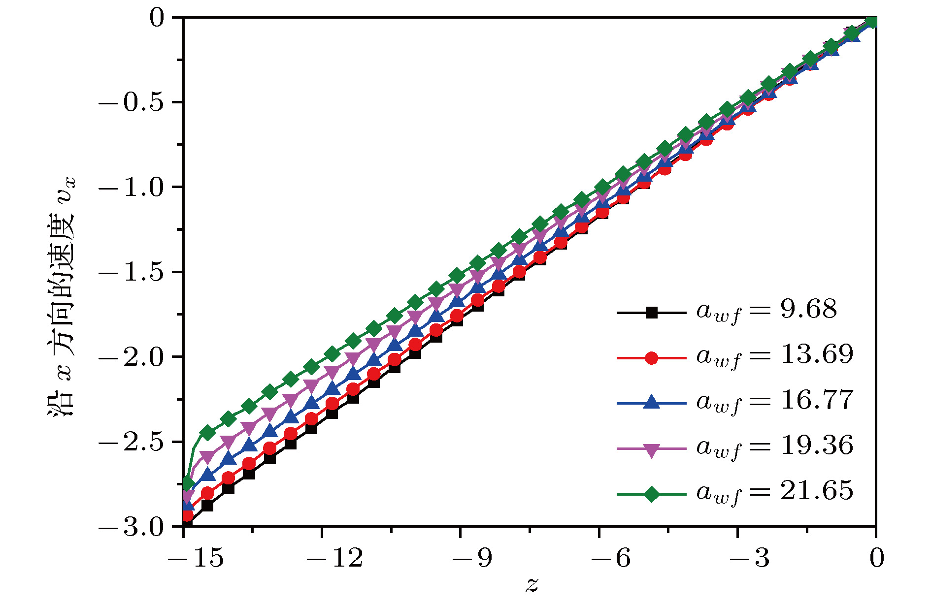
The understanding of fluid slip over a hydrophobic surface is of great importance for reducing the drag for fluid flows. Dissipative particle dynamics (DPD) is used to investigate the mechanism of fluid slip at the solid-fluid interface in microchannels. A wall model adopting three layers of frozen particles is proposed for DPD simulation. In addition, a modified bounce-forward reflection is proposed to reintroduce fluid particles back into the fluid region when they " penetrate” into the wall region in the calculation due to the soft potential employed. Then the Couette flow is simulated by using the proposed wall model. The simulation results show that the no-slip or slip of the fluid at the wall can be achieved by adjusting parameter
$ {a_{\rm wf}}$
. The parameter
$ {a_{wf}}$
represents the interaction between wall particles and liquid particles. Our simulation results show that the distributions of the velocity, density, temperature and shear stress compare well with the corresponding analytical solutions with
$ {a_{\rm wf}} = 9.68$
, and there is no fluctuation of the fluid density near the wall. This indicates that the no-slip is obtained, and hence the wall is hydrophilic. With
${a_{\rm wf}} > 9.68$
, the wall becomes hydrophobic and the fluid can slip at the wall. The wall becomes more hydrophobic with larger
${a_{\rm wf}} $
, and the stronger hydrophobicity leads to greater slip. The slip velocity and slip length can be used to describe the fluid slip. According to the Navier slip boundary model, the slip velocity and slip length are determined by fitting a straight line (linear fitting) to the velocity profile in the central portion of the channel. The results show that the slip velocity or the slip length is a quadratic function of the parameter
${a_{\rm wf}} $
, namely, the slip velocity or the slip length is a quadratic function of the contact angle. A physical mechanism of the fluid slip over hydrophobic surfaces is also proposed. The density profile is uniform for the no-slip condition, but there is a layer of low density fluid near the wall when the fluid can slip at the wall surface. This low density region can disrupt the momentum transfer between the wall and the fluid, which induces the fluid slip at the wall surface.