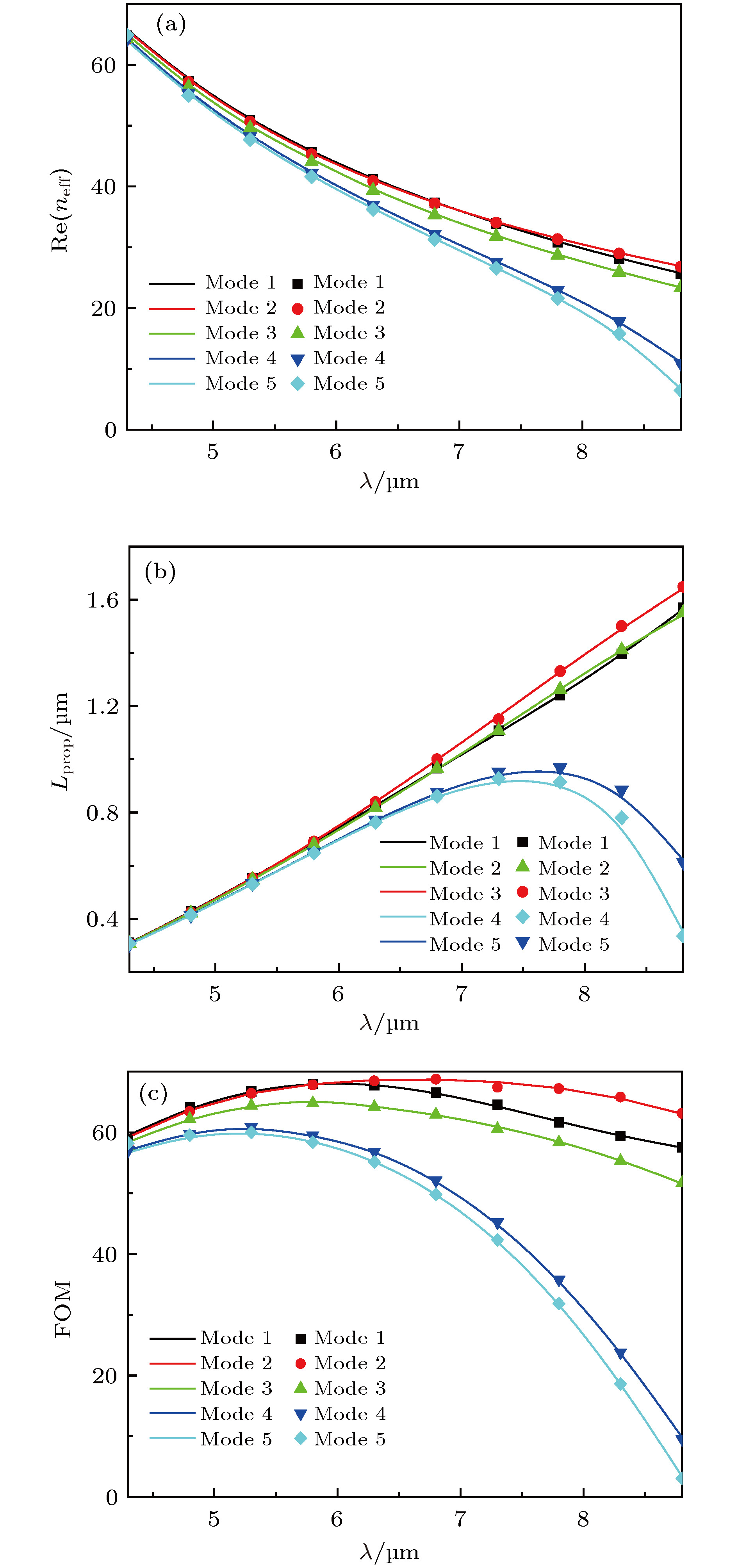
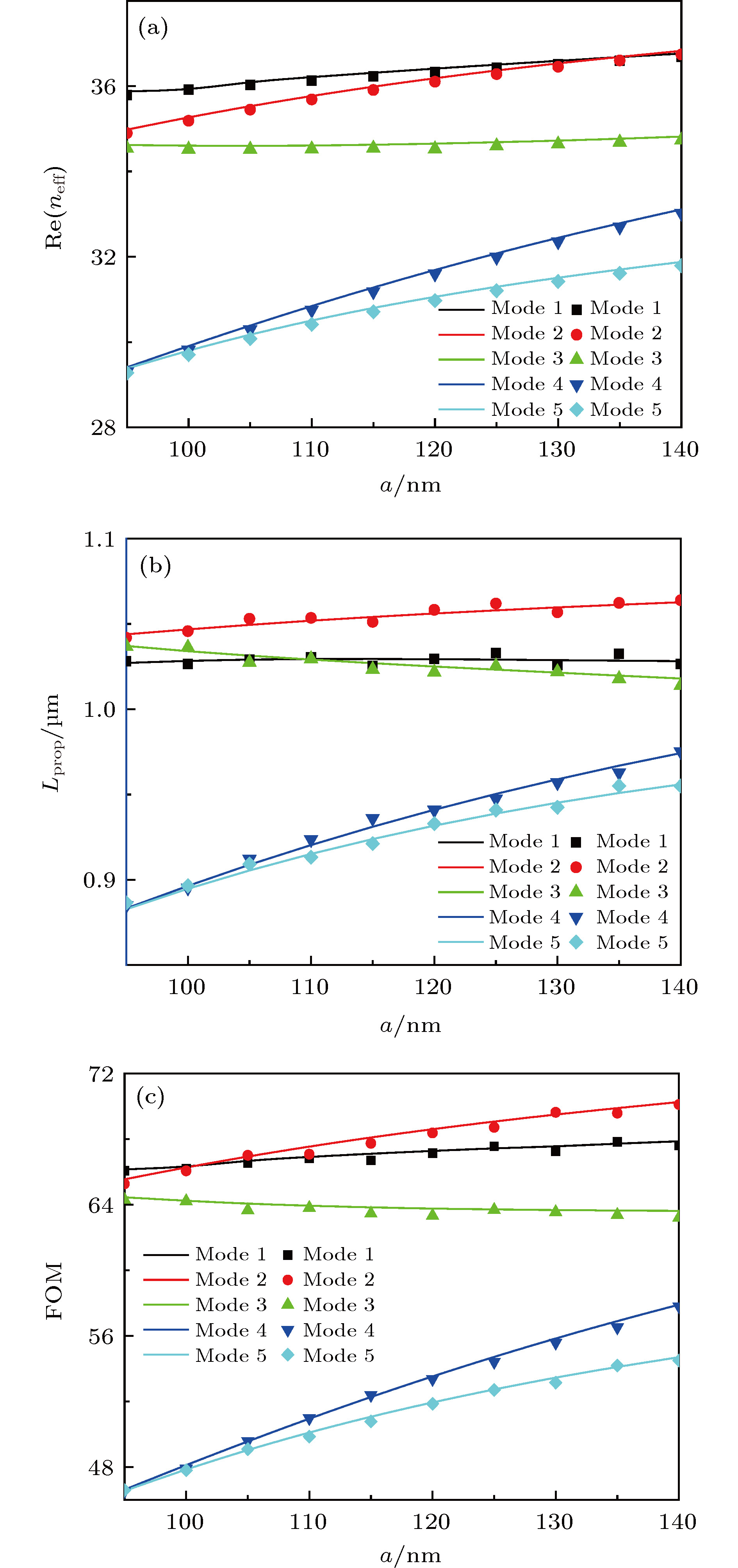
In this paper, an elliptical dielectric graphene-coated nanowire optical waveguide is designed. In the elliptical cylinder coordinate system, the dispersion equation is obtained by using the separation variable method with the Mathieu functions. The effective refractive indexes and the field distributions are obtained from the dispersion equation by using the numerical method, then the propagation lengths are obtained. The influence of the operating wavelength, structure parameters and the Fermi energy of graphene on the mode characteristics are investigated. What is more, the figure of merit of the first five modes are calculated too. The influence of the operating wavelength and the graphene Fermi energy on the mode characteristics of circular nanowires and that of elliptical nanowires are compared. The results show that as the operating wavelength increases from 4.3
${\text{μ}}{\rm{m}}$
to 8.8
${\text{μ}}{\rm{m}}$
, the real part of the effective refractive index decreases monotonically, the propagation lengths of the fundamental mode and the 1st order modes increase, and the 2nd order modes first increase and then decrease. When changing the elliptical nanowire structure parameters—the length of semi-major axis and semi-minor axis, there are slight influence on the mode characteristics of the fundamental mode and the 1st order modes, but greater influence on those of the 2nd order modes. As the Fermi energy of graphene increases from 0.45 eV to 0.72 eV, in the first five modes, the real part of the effective refractive index decreases, the propagation lengths of the fundamental mode and the 1st order modes increase, the propagation lengths of the 2nd order modes decrease. In addition, the propagation length approaches to 2
${\text{μ}}{\rm{m}}$
approximately. When the semi-minor axis
b= 100 nm and
${E_{\rm F}} \;{\rm{ = 0}}{\rm{.5}}\;{\rm{eV}}$
, the curves of the circular nanowire (
a= 100 nm) and the elliptical nanowire (
a= 140 nm), the real part of the effective refractive index and propagation length with the operating wavelength and the Fermi energy of graphene are compared. Then, the advantages of elliptical nanowire over the circular nanowire are verified. The results of the separation variable method are in good agreement with the results of the finite element method. This work can provide a theoretical basis for the design, fabrication and application of optical waveguides based on graphene-coated elliptical dielectric nanowires.