One of the key issues for scale applications of hydrogen energy is the availability of safe, efficient and ecnomicical hydrogen storage technologies. In the past few years, light metal hydrides have attracted considerable attention due to their high hydrogen capacity. With a hydrogen capacity up to ~6.5 wt%, Li
2NH is regarded as one of the most promising hydrogen storage materials. Although the hydrogen physical and thermodynamic properties of Li
2NH have been studied, the electronic structure, phonon vibration mode and thermodynamic properties of Li
2NH have not yet been resolved. In this paper, by using the first principles based on the density functional theory (DFT), we investigate the electronic structure, lattice dynamical and thermodynamic properties of Li
2NH in detail.
Firstly, the structure of Li
2NH is optimized and the lattice parameters and total energy of the crystals are calculated. As shown by the calculation results, the lattice parameters are in good agreement with previous theoretical and experimental results. Our lowest-energy structure of Li
2NH has orthorhombic
Pnmasymmetry at
T=0 K for all of the proposed structures. Secondly, the electronic band-structure studies reveal that Li
2NH has a small band gap of about 2.0 eV. The analysis of total and partial density of states of Li
2NH show that the bonding between the N and H has a covalent character. Thirdly, the lattice dynamical properties of Li
2NH are investgated at the corresponding equilibrium states. These results show that only the phonon dispersion curves of Li
2NH (
Pnma) without negative frequencies are calculated along the high-symmetry points. The optical modes of phonon frequencies at
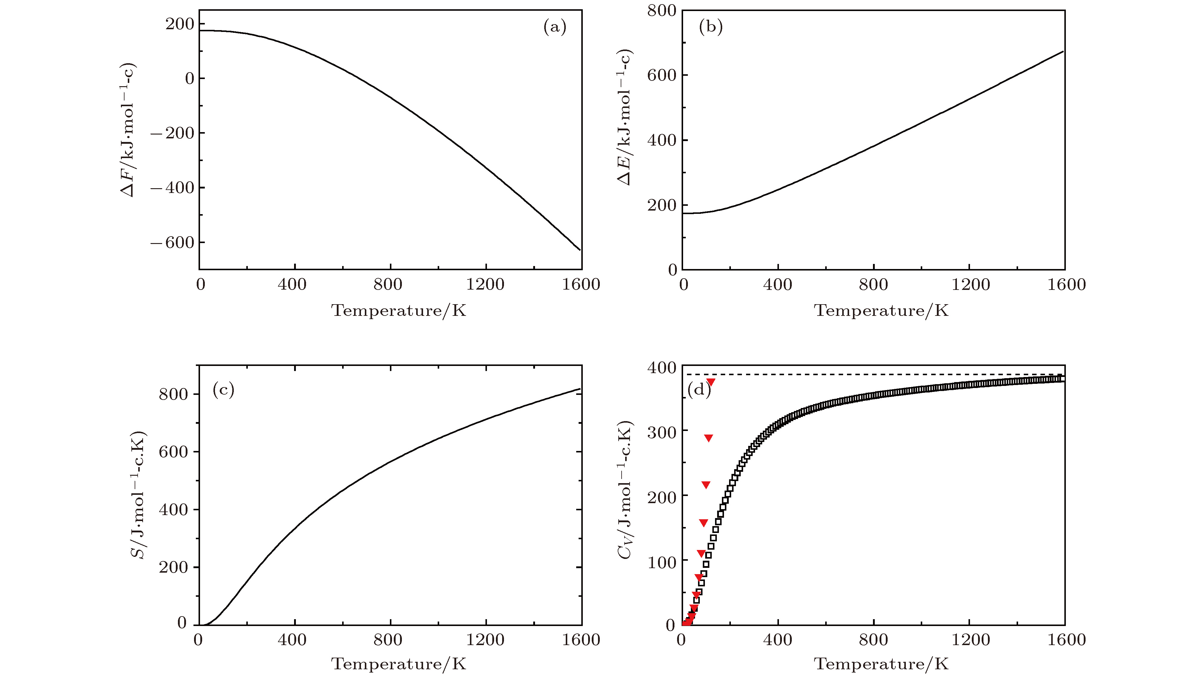
Γpoint are assigned as Raman and Infrared-active modes. Based on the calculated phonon density of states, the thermodynamic properties are computed, such as the Helmholtz free energy, internal energy, entropy and the constant-volume specific heat versus temperature. The calculation results may explore the applications in areas of hydrogen storage for Li-N-H, which is of great importance forusing hydrogen in the future.