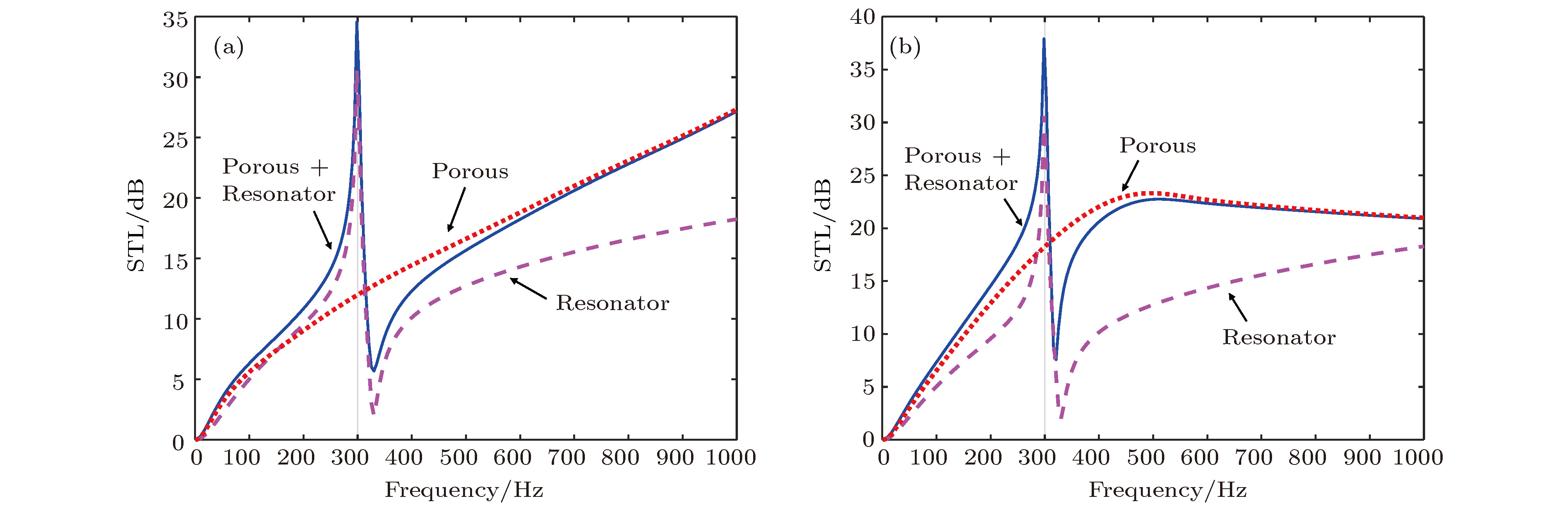
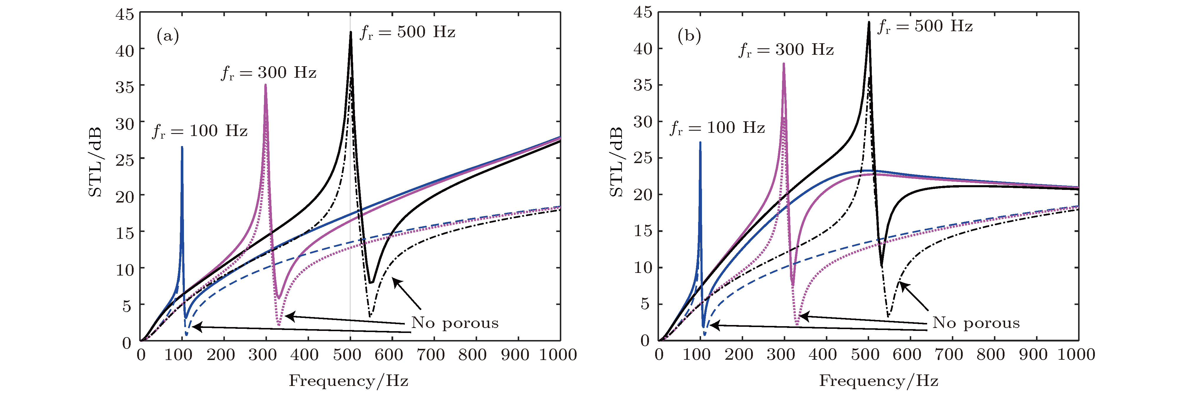
To obtain excellent sound reduction performance, in this paper we introduce a novel periodic poroelastic composite structure, which combines poroelastic material and periodic structure and aims at using the remarkable acoustic performance of these two. This periodic composite structure comprises three parts, i.e. the poroelastic domain, the elastic domain (thin plate), and the periodic resonators, which can be simple single-degree-of-freedom resonators (SRs) or composite two-degree-of-freedom resonators (CRs). A theoretical model is established by using Biot theory for the poroelastic domain, and by using the effective medium method for the resonator-plate coupling system, which is considered as an isotropic plate with an equivalent dynamic density. This method is validated with degenerated model in the literature; the results obtained by this method are in excellent consistence with the results in the literature. Parameter analyses are performed to test the influences of poroelastic addition and periodic resonator on the sound transmission loss (STL) of this periodic composite structure under two kinds of boundary conditions. The poroelastic addition is found to increase the STL while the influences of resonators are complicated. The STL increases notably in the frequency range bounded by the characteristic frequencies of these resonators, however, a decrease just follows when it exceeds these frequencies, which can be observed in both SR case and CR case under the two boundary conditions. In the meantime, when multiple SR is placed in a periodic lattice, it is found that different resonators with ascending mass and characteristic frequencies have superior STL to those with ascending characteristic frequencies but have equal mass. The case with CR, which is more complicated as expected, shows less STL decrease than the case with SR, but wider frequency range where the STL increases than a poroelastic composite structure without resonators. This results from the fact that the frequency band of vibration suppression in the CR case is wider than in the SR case. As a result, to achieve the desired STL performance in a frequency range, the proposed composite structure using SR with tuned characteristic frequencies is enough; however, if a wider frequency band is expected even if there is a slight STL tradeoff, the CR case is a better option. Though the method proposed is only valid in the low-to-medium frequency range, the results obtained can benefit theoretical development of low-to-medium sound modulation applications, they are also valuable and illuminating for investigating the broadband sound modulation.