It has been found in many experimental and theoretical studies that autapse regulates the electrical activities of single neurons and the spatiotemporal behaviors of neuronal networks through feedback or coupling currents to achieve physiological functions. In the present paper, the effect of inhibitory self-feedback on spiking patterns near Hopf bifurcation point is studied in the deterministic Morris-Lecar model and the stochastic Morris-Lecar model, and the dynamical mechanism is acquired with the phase response curve (PRC) of spiking to the inhibitory square pulse current stimulation. The inhibitory self-feedback current with a suitable time-delay can induce the spiking frequency to increase, which is different from the traditional viewpoint that the inhibitory stimulations often induce the firing frequency to decrease. For the remained time delays, spiking frequency decreases. Furthermore, the changes of spiking frequency, induced by the inhibitory self-feedback current, can be well explained with the dynamical responses of the spiking pattern of a single neuron without autapse to an inhibitory square pulse current stimulation. For the spiking pattern of a neuron without autapse, when an inhibitory square pulse stimulation current resembling to the inhibitory self-feedback current is applied at some suitable phases after an action potential/spike, the phase of the action potential/spike following the square pulse current advances, which leads the interspike intervals (
ISIs) to decrease and firing frequency to increase. For the remained stimulation phases of the inhibitory pulse current, the response phase of the following action potential/spike delays. Therefore, the PRC of the action potential/spike shows the characteristics of type-II excitability corresponding to Hopf bifurcation. The stimulation phase of the inhibitory square pulse current that can induce the spiking frequency of single neurons to increase corresponds to the time delay of inhibitory self-feedback that can enhance firing frequency, which shows that the type-II PRC is the cause that the inhibitory self-feedback can induce the spiking frequency to increase. Finally, when noise is introduced into the ML model with inhibitory self-feedback, the coefficient of variation (
CV) of the
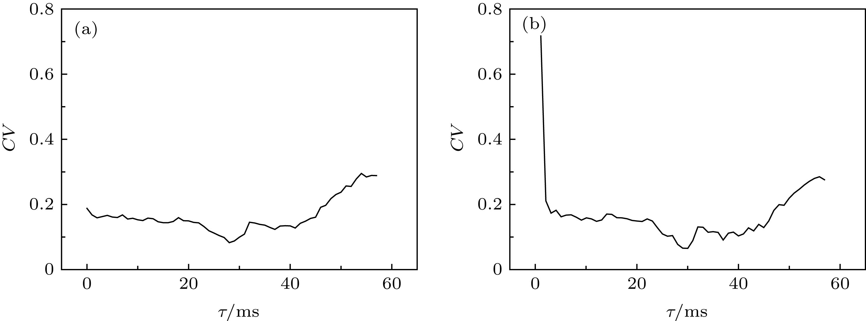
ISIsis smaller for the longer time delay of the self-feedback or the stronger coupling strength of the autapse, that is, the spike-timing precision is improved for the smaller
CVof
ISIs. Such a result is consistent with the experimental result that slow inhibitory autapse can enhance spike-timing precision. The results present a novel phenomenon that negative self-feedback can enhance the response of the system and the corresponding nonlinear dynamical mechanism, i.e. the PRC, provide a new method of regulating the neural electrical activities, and are helpful in understanding the potential function of inhibitory autapse.