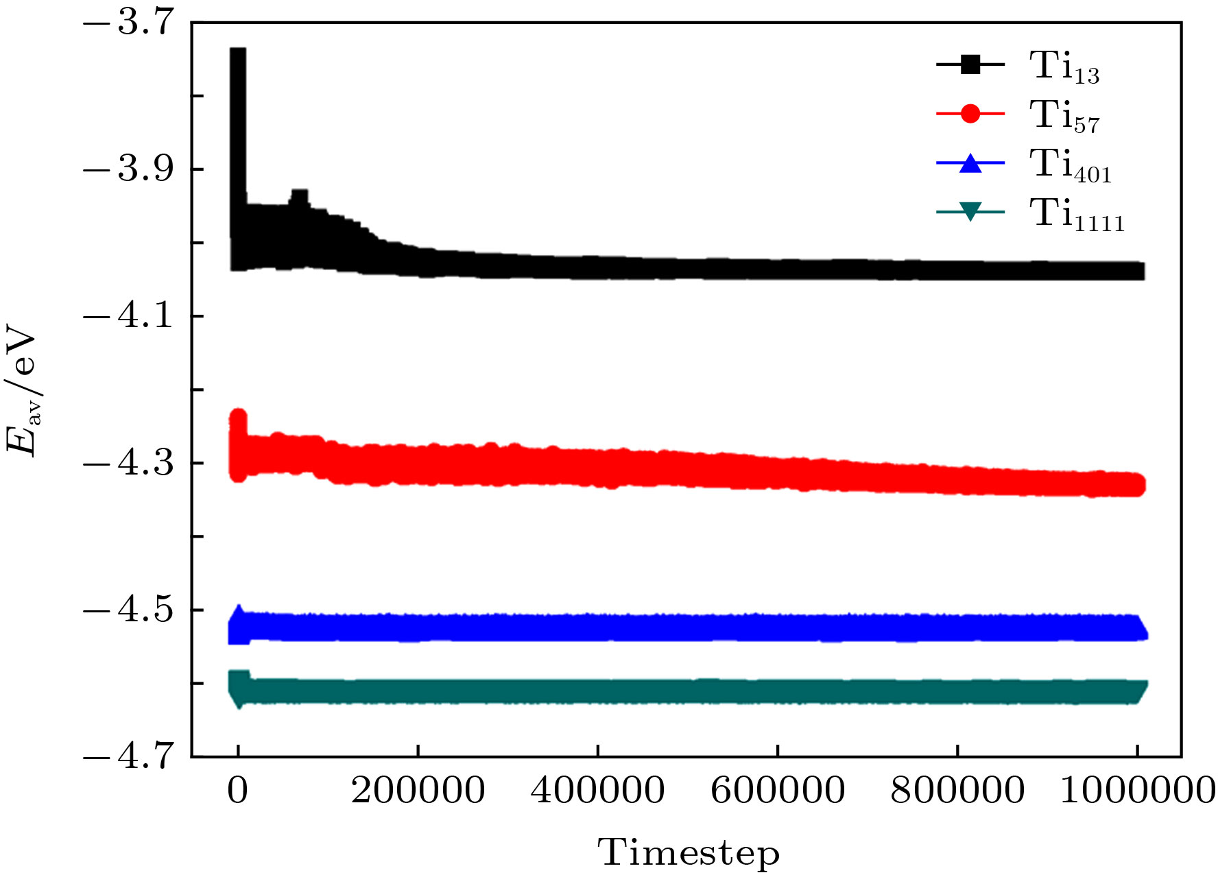
Titanium (Ti) has many advantages including high specific strength, low density, and biocompatibility, and is an excellent option for biomedical implant applications. Traditionally manufacturing processes have great difficulties in processing the hexagonal α-Ti with complex geometries, which would be transformed into the BCC β-Ti at high temperatures. Additive manufacturing (AM) or metal three-dimensional(3D) printing has made it possible to accurately fabricate Ti products with complex morphology. As nanoparticles have been used in the AM processing, an interesting issue arises naturally to understand packing changes of Ti particles with nanometer size during heating and cooling. The information provides the possibility in understanding the processing-structure-property-performance relations in the AM processes with the intent of producing the desirable microstructural features, and thus achieving the mechanical properties comparable or even superior to the conventionally manufactured parts. Because of lacking appropriate experimental techniques, computational approach becomes a good option to obtain various static and dynamic properties of metals reliably, in bulk or surface configurations. On a nanoscale, as the number of atoms in one particle increases, the computational cost increases exponentially and the data complexity increases correspondingly. Molecular dynamics (MD) simulation is a well-established technique to characterize microscopic details in these systems involving combined behaviors of atom movements and locally structural rearrangements. In this paper we conduct the simulations within the framework of embedded atom method provided by Pasianot et al. to study packing transformations of Ti nanoparticles upon heating and cooling on an atomic scale. Based on the calculation of the potential energy per atom, pair distribution function, pair analysis, and the specific heat capacity, the results show that the particle size and temperature changes play key roles in the packing transformations. Small size particles preferentially form icosahedral geometries. As the particle size increases, particles can hold their HCP packing at room temperature. Upon heating, the structural transformation from HCP to BCC occurs in these large size particles, and there coexist the HCP structure and the BCC structure. At a high temperature, these particles present the melting behavior similar to that of the bulk phase. When the molten particles are cooled, the atoms in the particles undergo melting-BCC-HCP structural transition, and the freezing temperature lags behind the melting temperature. The simulations provide an estimate of the critical size, and are applicable to classical theory for melting the Ti particles.