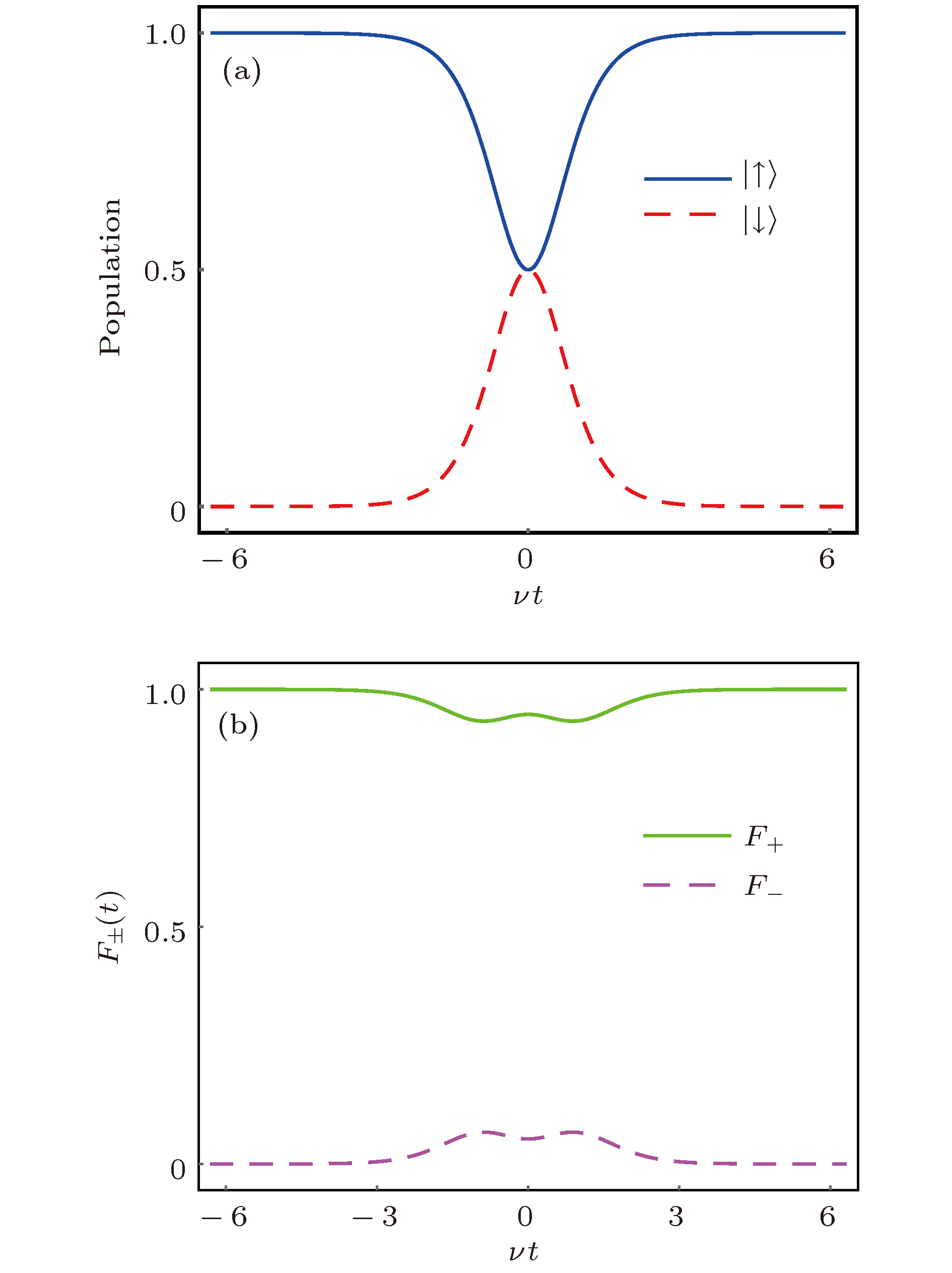
Exact solution to the driven quantum system with an explicitly time-dependent Hamiltonian is not only an issue of fundamental importance to quantum mechanics itself, but also a ubiquitous problem in the design for quantum control. In particular, the nonadiabatic transition induced by the time-dependent external field is often involved in order to target the quantum state for the atomic and molecular systems. In this paper we investigate the exact dynamics and the associated nonadiabatic transition in a typical driven model, the Rosen-Zener model and its multi-level extension, by virtue of the algebraic dynamical method. Previously, this kind of driven models, especially of the two-level case, were solved by converting the corresponding Schrödinger equation to a hypergeometric equation. The property of the dynamical transition of the system was then achieved by the asymptotic behavior of the yielded hypergeometric function. A critical drawback related to such methods is that they are very hard to be developed so as to treat the multi-level extension of the driven model. Differing from the above mentioned method, we demonstrate that the particular kind of the Rosen-Zener model introduced here could be solved analytically via a canonical transformation or a gauge transformation approach. In comparison, we show that the present method at least has two aspects of advantages. Firstly, the method enables one to describe the evolution of the wavefunction of the system analytically over any time interval of the pulse duration. Moreover, we show that the method could be exploited to deal with the multi-level extensions of the model. The explicit expression of the dynamical basis states, including the three-level system and the four-level system, is presented and the transition probabilities induced by the nonadiabatic evolution among different levels are then characterized for the model during the time evolution. In addition, our study reveals further that the dual model of the driven system can be constructed. Since the dynamical invariant of a solvable system can always be obtained within the framework of the algebraic dynamical method, the general connection between the dual model and the original one, including the solvability and their dynamical invariants, are established and characterized distinctly.