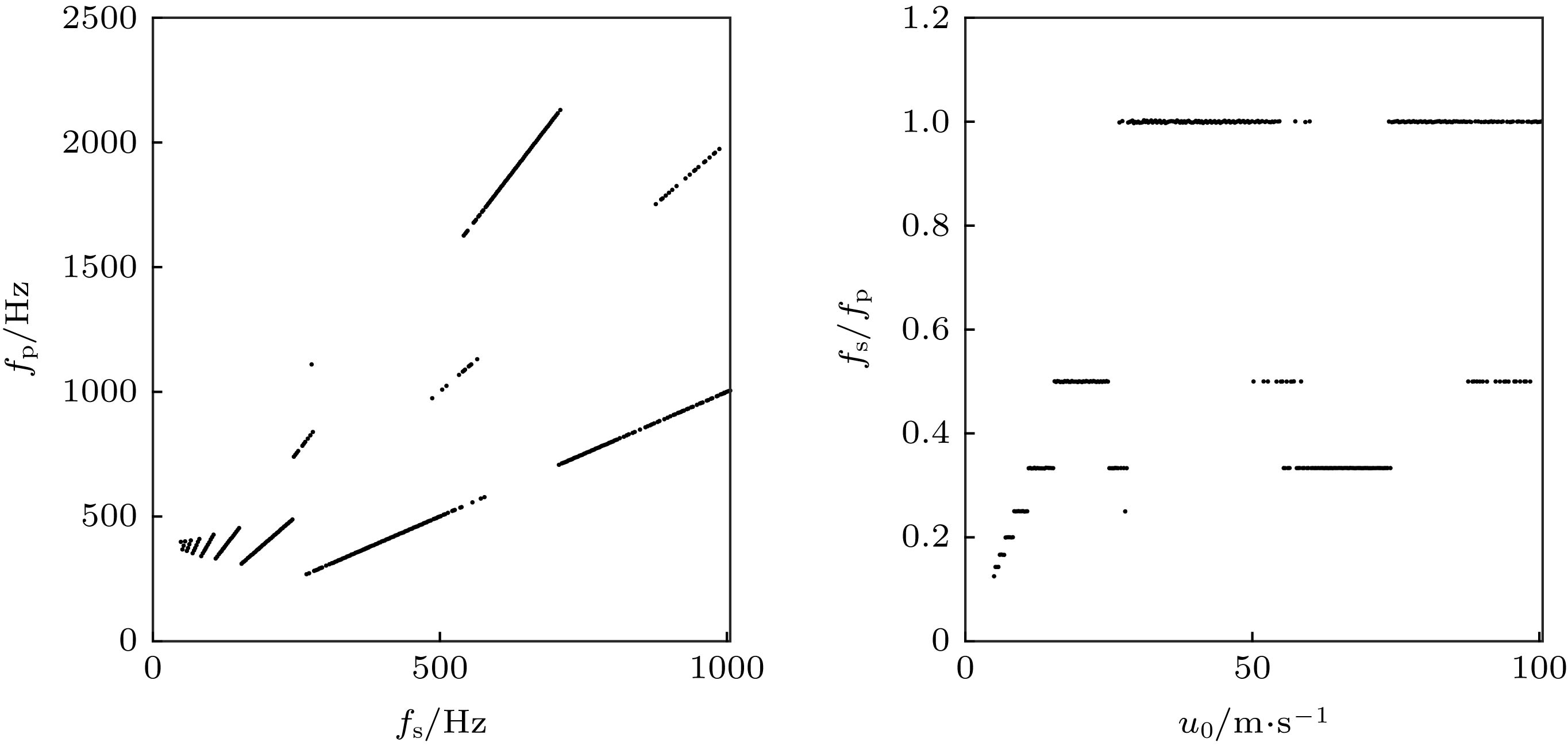
In engineering, the combustion chamber with a backward step is very popular, and it is a kind of flame stabilizer. In this type of combustion chamber, there will be shedding vortices at the step due to the instability of the flow field. The shedding vortices will carry reactants to move downstream and burn, resulting in unstable heat release and then pressure and velocity fluctuations of the sound field, thereby, finally, forming a combustion-vortex-acoustic interaction process. If a positive feedback loop is formed between the unstable heat release and the pressure fluctuation of sound field, combustion instability will occur, and it is also referred to as thermoacoustic oscillation due to vortex shedding. Combustion instability frequently occurs in many practical systems or equipment, and its induced significant pressure oscillations have a serious influence on the normal operation of the equipment. Recently, the combustion instability has been extensively studied experimentally, but the theoretical investigation on its nature is still rare. Since combustion instability is a complicated nonlinear phenomenon, it is necessary to study its nature from the viewpoint of nonlinear dynamics. Based on the one-dimensional simplified model of thermoacoustic instability involving vortex shedding proposed by Matveev and Culick, the typical nonlinear phenomenon in thermoacoustic oscillation induced by vortex shedding is studied. The study focuses on the initial value sensitivity of the system, the influence of key parameters on thermoacoustic oscillation, and the phenomenon of vortex-acoustic lock-on. Firstly, the Galerkin method is used to approximate the governing equation, and the partial differential equations are reduced to a set of ordinary differential equations. Then, the first ten modes are selected, and the pressure and velocity fluctuations of sound field under different system parameters are obtained by MATLAB program. Finally, the thermoacoustic instability of the system under different initial disturbances, the influences of different steady flow velocity on the thermoacoustic oscillation of the system, and the phenomenon of vortex-acoustic lock-on in thermoacoustic oscillation are studied in detail. The results show that the system of thermoacoustic oscillation involving vortex shedding is extremely sensitive to initial values, and there are a rich variety of nonlinear phenomena. With steady flow velocity increasing, the amplitude of pressure fluctuation augments generally. However, the similar structures are found in several intervals of steady flow velocity, and the amplitude first decreases and then increases. In particular, it is verified that the system oscillates periodically by integer (
f
p/
f
s) multiple of the vortex impinging frequency (
f
s), that is, the vortex-acoustic frequency locking with the number of revolutions
f
p/
f
s, which is found in experiment and can be regarded as an important characteristic of periodic thermoacoustic oscillation.