| [1] |
姚晓岱, 吴爽, 赵锐, 吴淼鑫, 刘航, 金光勇, 于永吉.基于台阶声光调Q外腔泵浦MgO:PPLN光参量振荡器的3.4 μm中红外脉冲串激光器. 必威体育下载 , 2024, 73(4): 044206.doi:10.7498/aps.73.20231348 |
| [2] |
陈浩, 田建民, 孙雪健, 吕可真, 徐莉华, 李宏荣.光合作用多色素捕光模型中光激发对能量传输的影响. 必威体育下载 , 2022, 71(10): 104203.doi:10.7498/aps.71.20211960 |
| [3] |
李妤晨, 陈航宇, 宋建军.用于提高微波无线能量传输系统接收端能量转换效率的肖特基二极管. 必威体育下载 , 2020, 69(10): 108401.doi:10.7498/aps.69.20191415 |
| [4] |
廖天军, 吕贻祥.热光伏能量转换器件的热力学极限与优化性能预测. 必威体育下载 , 2020, 69(5): 057202.doi:10.7498/aps.69.20191835 |
| [5] |
周利, 王取泉.等离激元共振能量转移与增强光催化研究进展. 必威体育下载 , 2019, 68(14): 147301.doi:10.7498/aps.68.20190276 |
| [6] |
于永吉, 陈薪羽, 成丽波, 王超, 吴春婷, 董渊, 李述涛, 金光勇.基于MgO:QPLN的多光参量振荡器电场调谐特性理论与实验研究. 必威体育下载 , 2015, 64(16): 164208.doi:10.7498/aps.64.164208 |
| [7] |
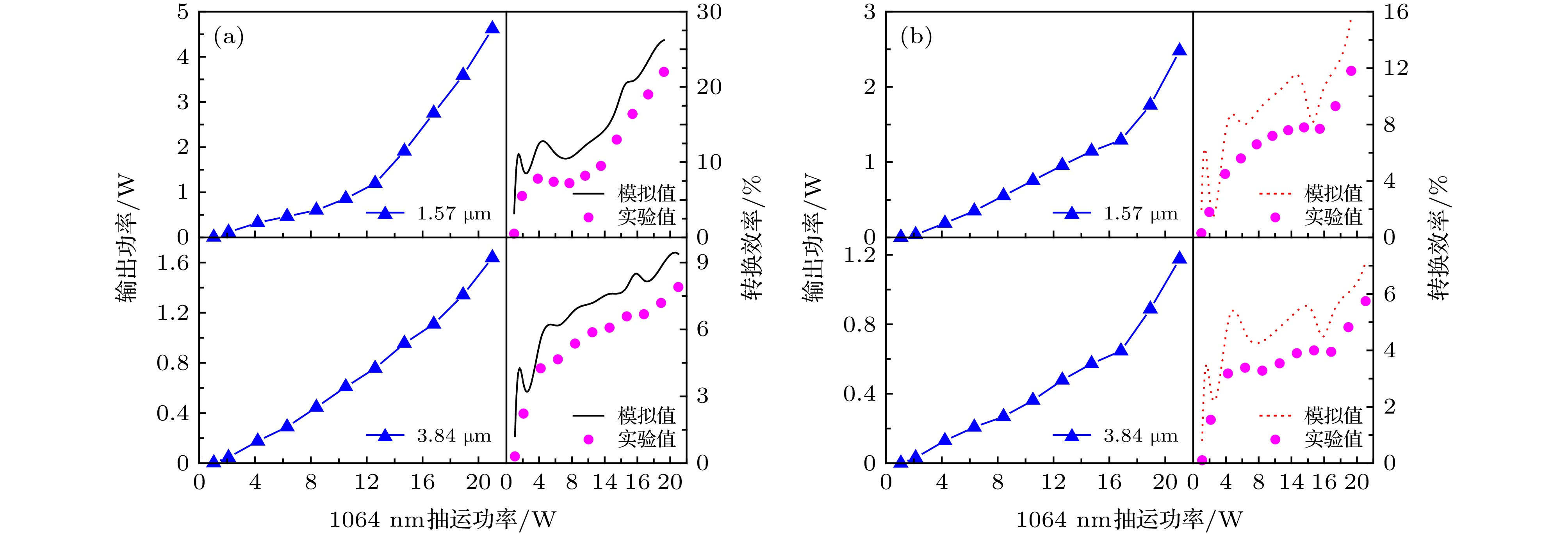
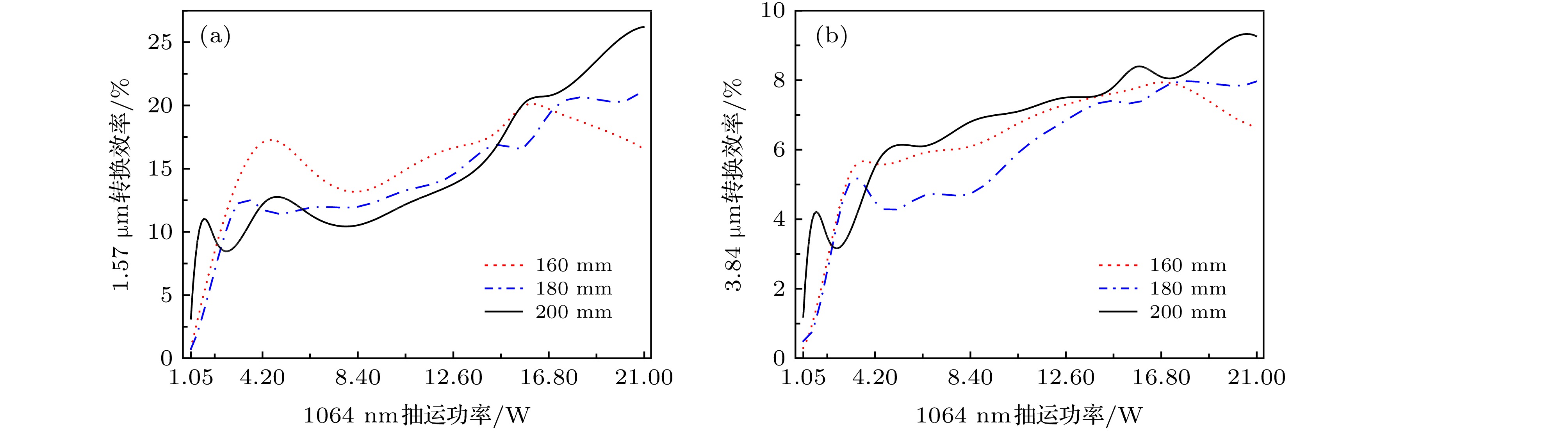
于永吉, 陈薪羽, 成丽波, 王超, 吴春婷, 董渊, 李述涛, 金光勇.基于MgO:APLN的1.57m/3.84m连续波内腔多光参量振荡器研究. 必威体育下载 , 2015, 64(22): 224215.doi:10.7498/aps.64.224215 |
| [8] |
于永吉, 陈薪羽, 王超, 吴春婷, 董渊, 李述涛, 金光勇.基于MgO:APLN的多光参量振荡器实验研究及其逆转换过程演化分析. 必威体育下载 , 2015, 64(4): 044203.doi:10.7498/aps.64.044203 |
| [9] |
谢辰, 胡明列, 张大鹏, 柴路, 王清月.基于多通单元的高能量耗散孤子锁模光纤振荡器. 必威体育下载 , 2013, 62(5): 054203.doi:10.7498/aps.62.054203 |
| [10] |
朱开成, 李绍新, 郑小娟, 唐慧琴.对相干态在通过参量转换中的演化与量子化光涡态的实现. 必威体育下载 , 2012, 61(19): 194206.doi:10.7498/aps.61.194206 |
| [11] |
刘建辉, 柳强, 巩马理.光参量过程中的逆转换问题. 必威体育下载 , 2011, 60(2): 024215.doi:10.7498/aps.60.024215 |
| [12] |
辛 萍, 孙成伟, 秦福文, 文胜平, 张庆瑜.反应磁控溅射ZnO/MgO多量子阱的光致荧光光谱分析. 必威体育下载 , 2007, 56(2): 1082-1087.doi:10.7498/aps.56.1082 |
| [13] |
尹增谦, 万景瑜, 黄明强, 王慧娟.介质阻挡放电中的能量转换过程研究. 必威体育下载 , 2007, 56(12): 7078-7083.doi:10.7498/aps.56.7078 |
| [14] |
李培丽, 黄德修, 张新亮, 朱光喜.基于多电极单端耦合半导体光放大器的交叉增益调制型波长转换器. 必威体育下载 , 2006, 55(6): 2746-2750.doi:10.7498/aps.55.2746 |
| [15] |
郑世旺, 贾利群.Birkhoff系统的局部能量积分. 必威体育下载 , 2006, 55(11): 5590-5593.doi:10.7498/aps.55.5590 |
| [16] |
邓诚先, 李正佳, 朱长虹.具有腔内光放大的单共振光参量振荡器. 必威体育下载 , 2005, 54(10): 4754-4760.doi:10.7498/aps.54.4754 |
| [17] |
陈宏平, 王 箭, 何国光.光脉冲传输数值模拟的分步小波方法. 必威体育下载 , 2005, 54(6): 2779-2783.doi:10.7498/aps.54.2779 |
| [18] |
宁 成, 杨震华, 丁 宁.Z箍缩内爆过程中的能量转换机制研究. 必威体育下载 , 2003, 52(2): 415-420.doi:10.7498/aps.52.415 |
| [19] |
刘政威, 阳效良, 肖思国.提高能量上转换效率的实验探讨. 必威体育下载 , 2001, 50(9): 1795-1779.doi:10.7498/aps.50.1795 |
| [20] |
祝家清.自由电子激光的能量转换. 必威体育下载 , 1996, 45(1): 52-57.doi:10.7498/aps.45.52 |