Memcapacitor is a kind of non-linear capacitor with memory capability. In order to study the electrical characteristics of memcapacitor and its application circuit, a quadratic model of voltage-controlled memcapacitor is proposed, and an emulator which can dynamically simulate the
q–
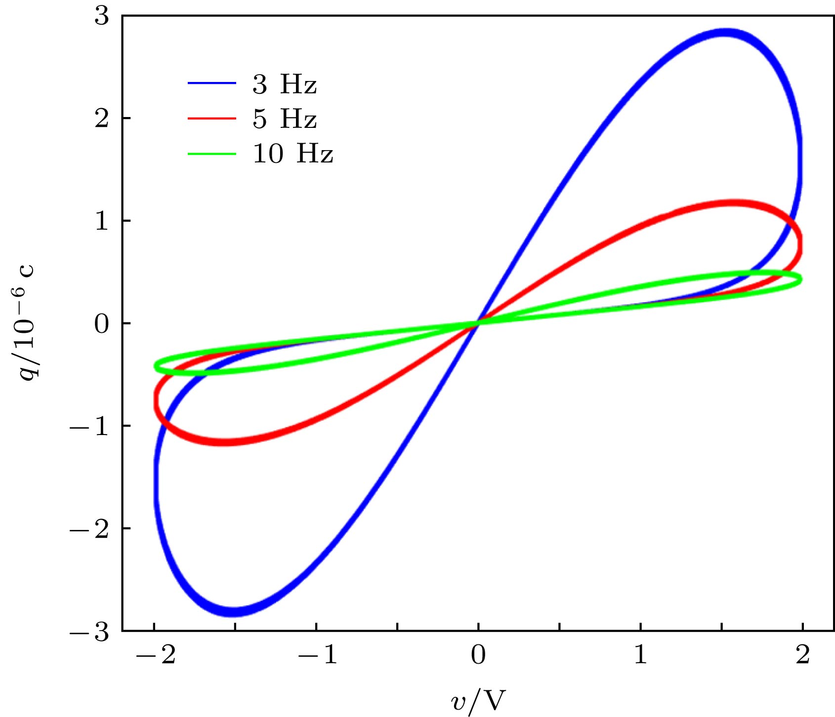
vcharacteristics of the memcapacitor is designed by using a current feedback operational amplifier, multiplier and other devices. The emulator does not need to be converted by any memristor or meminductor. It can work in floating or grounding state. The constitutive relation of the memcapacitor emulator is deduced, and the circuit parameters of the emulator are designed. Based on the simulations and experimental results, the pinched hysteresis loop and its dependence on frequency are verified. In addition, the range of the memcapacitance under periodic signal excitation is discussed and the influence of periodic excitation signal on the range of memcapacitance is analyzed. Through observing the dynamic route map (DRM) of the memcapacitor, its nonvolatility and the stability of the equilibrium point are also studied. The simulation results show that the memcapacitor can exhibit infinite stable equilibrium points and can be stabilized at any equilibrium state. With respect to pulse excitation signal, the effects of pulse width and amplitude on the switching on or off of the state for the memcapacitor is analyzed, and the corresponding switching method and rule are proposed. This characteristic of memcapacitor makes it have potential applications in non-volatile memory, neural network and other fields. Based on the proposed memcapacitor model, a multivibrator circuit is designed. Then, the working principle of the oscillator is analyzed, and the equation of oscillator is derived. The output voltage of the oscillator, the terminal voltage of the memcapacitor, the flux and the charge of the memcapacitor, and the pinched hysteretic curve of the memcapacitor during oscillation are tested experimentally. Besides, various oscillation waveforms whose frequency and duty cycle are different are observed and further analyzed. The circuit structure of the memcapacitor multivibrator designed in this paper is very simple. It can generate stable rectangular wave signals with controllable frequency and duty cycle, and it can be used in testing signal or driving the device.