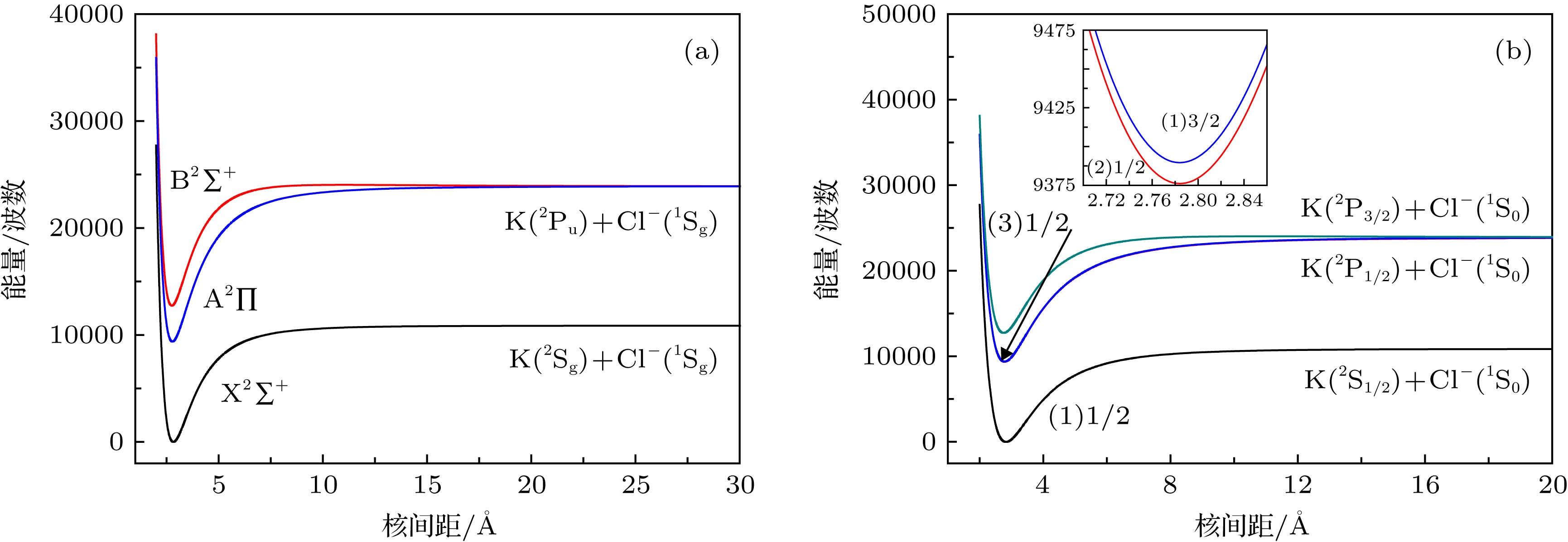
The potential energy curves and transition dipole moments (TDMs) for three Λ-S states (X
2Σ
+, A
2Π, and B
2Σ
+) of potassium chloride anion (KCl
–) are investigated by using multi-reference configuration interaction (MRCI) method. The def2-AQZVPP-JKFI of K atom and AV5Z-DK all-electron basis set of Cl atom are used in all calculations. The Davidson correction, core-valence (CV) correction, and spin-orbit coupling effect (SOC) are also considered. In the complete active self-consistent field (CASSCF) calculations, eight molecular orbitals are selected as active orbitals, which includ K 4s4p and Cl 3s3p shells; K 3p shell is closed orbital, and the remaining shells (K 1s2s3s and Cl 1s2s2p) are frozen orbitals. In the MRCI+
Qcalculations, K 3p shell is used for the CV correction. There are 15 electrons in the correlation energy calculations. Then, their spectroscopic parameters, Einstein coefficients, Franck-Condon factors, and radiative lifetimes are obtained by solving the radial Schrödinger equation. The spectroscopic properties and transition properties for the Ω states are predicted. Highly diagonally distributed Franck-Condon factor
f
00values for the (2)1/2↔(1)1/2 and (1)3/2↔(1)1/2 transition are 0.8816 and 0.8808, respectively. And the short radiative lifetimes for the (2)1/2 and (1)3/2 excited states are also obtained, i.e.
τ[(2)1/2] = 45.7 ns and
τ[(1)3/2] = 45.5 ns, which can ensure laser cooling of KCl
–anion rapidly. The results indicate that the (2)1/2↔(1)1/2 and (1)3/2↔(1)1/2 quasicycling transitions are suitable to the building of laser cooling projects. For driving the (2)1/2↔(1)1/2 transition, a main pump laser (λ
00) and two repumping lasers (λ
10and λ
21) are required. Their wavelengths are λ
00= 1065.77 nm, λ
10= 1090.13 nm and λ
21= 1087.76 nm. For driving the (1)3/2↔(1)1/2 transition, the wavelengths are λ
00= 1064.24 nm, λ
10= 1088.54 nm, and λ
21= 1086.17 nm. The cooling wavelengths of KCl
-anion for two transitions are both deep in the infrared range. Finally, the Doppler temperature and recoil temperature for two transitions are also calculated, respectively. The Doppler temperatures for (2)1/2↔(1)1/2 and (1)3/2(1)1/2 transitions are 83.57 μK and 83.93 μK, and the recoil temperatures for two transitions are 226 nK and 227 nK, respectively. for two transitions are 226 nK and 227 nK, respectively.