-
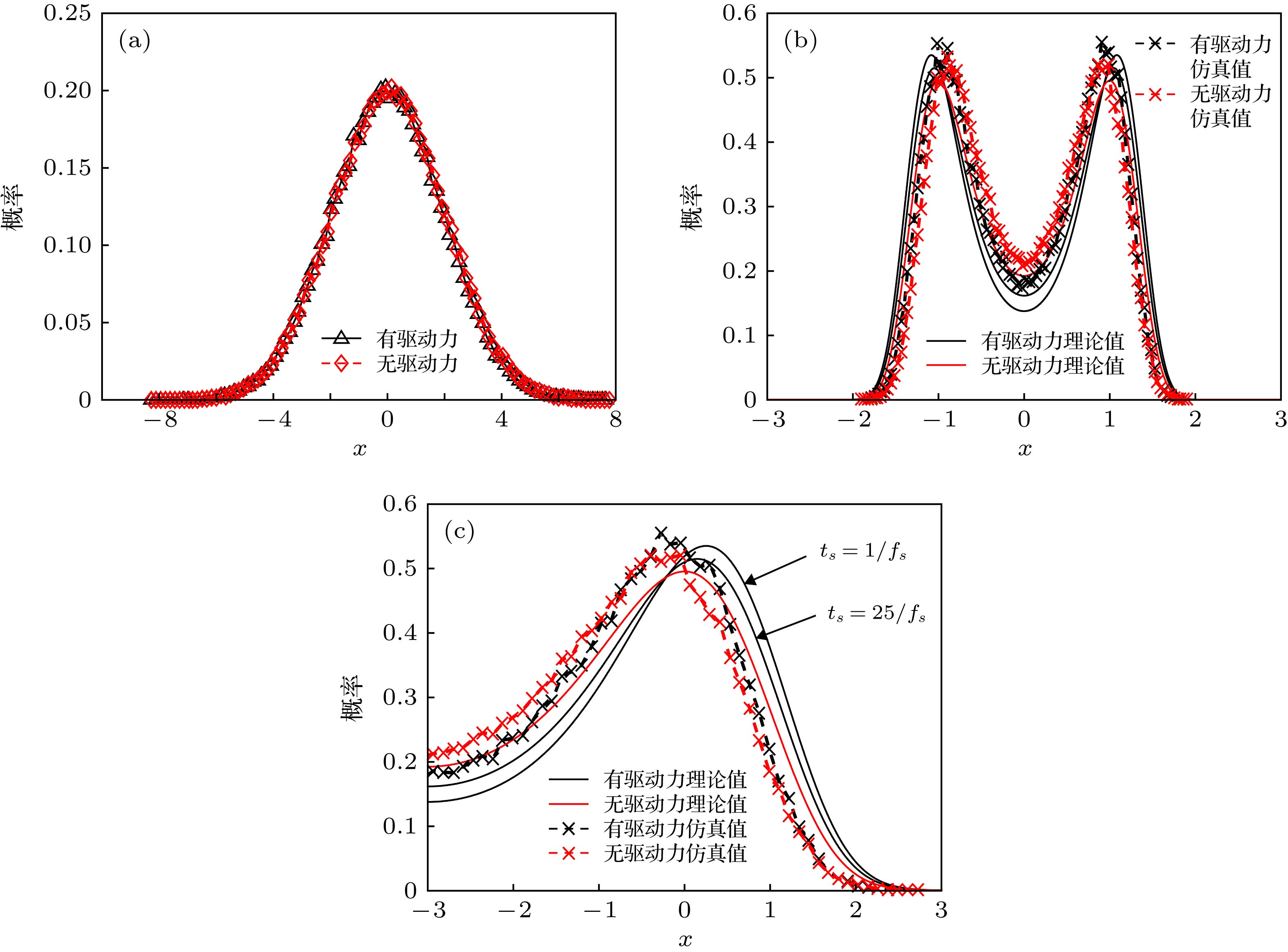
针对雷达、通信系统的正弦中频信号在低信噪比中难以接收的问题, 提出一种经随机共振增强正弦信号的接收方法. 通过分析正弦信号的随机共振机理, 引入判决时刻, 将非自治的福克-普朗克方程(Fokker-Planck Equation, FPE)转化为自治方程求解, 得到FPE的含时间参量的周期定态解; 在得到随机共振输出粒子的概率密度基础上, 通过分析能量接收、匹配滤波接收特点, 提出基于二次多项式的接收结构, 通过使偏移系数最大化, 确定二次多项式系数, 初步确定了检验统计量; 为进一步减小误码率, 结合“ N次采样取平均”思想, 根据中心极限定理, 将问题转换为高斯分布下的假设检验问题, 最终提出了随机共振增强正弦信号的二次多项式接收方法和处理流程. 仿真验证了理论的正确性, 并得到: 在最佳匹配随机共振参数的限制下, 当 N= 500时, 二次多项式接收结构在信噪比大于–17 dB时误码率低于2.2 × 10 –2.Aiming at the reception of the intermediate frequency signal of sine wave of radio and communication system at extremely low signal-to-noise ratio (SNR), a quadratic polynomial receiving scheme for sine signals enhanced by stochastic resonance (SR) is proposed. Through analyzing the mechanism of sine signals enhanced by SR and introducing the decision time, the analytic periodic stable solution with time parameters of the Fokker-Planck Equation (FPE) is obtained through converting the non-autonomous FPE into an autonomous equation. Based on the probability density function of the particle of SR output, a quadratic polynomial receiving scheme is proposed by analyzing the feature of energy detector and matching filter receiver. By maximizng the deflection coefficient, the binomial coefficients and the test statistic are obtained. For further reducing the bit error, by combining the thought of " the average of Nsamples”, a quadratic polynomial receiving scheme for sine signals enhanced by SR is proposed through the hypothesis under Gaussian distribution approximation of the law of large N. And the conclusion is obtained as follows. When Nis 500 and the SNR is greater than –17 dB, the bit error rate is less than 2.2 × 10 –2, under the constraint of the parameters of the optimally matched SR.
-
Keywords:
- stochastic resonance/
- reception of sine signal/
- quadratic polynomial receiving scheme/
- Fokker-Planck equation/
- deflection coefficient
[1] [2] [3] [4] [5] [6] [7] [8] [9] [10] [11] [12] [13] [14] [15] [16] [17] [18] [19] [20] [21] [22] [23] [24] [25] [26] -
[1] [2] [3] [4] [5] [6] [7] [8] [9] [10] [11] [12] [13] [14] [15] [16] [17] [18] [19] [20] [21] [22] [23] [24] [25] [26]
计量
- 文章访问数:6997
- PDF下载量:55
- 被引次数:0












下载:





