-
沃尔夫-拉叶(Wolf-Rayet stars, WR)星是一类非常特殊的恒星, 具有强烈的星风损失, 造成氢包层丢失, 仅具有裸露的氦核. WR 星被认为是Ib/Ic型超新星的前身星, 研究WR 星的形成及内部核合成具有重要意义. 根据转动恒星的角动量转移和元素扩散方程, 研究了影响WR星结构与演化的各种物理因素. 如恒星质量、初始转速、轨道周期、金属丰度等. 大质量、初始转速快和金属丰度高的单星模型, 星风物质损失率大, 易于形成WR星. 金属丰度低的恒星由于星风弱, 不容易丢失氢包层, 不容易形成WR星. 然而, 快速转动使低金属丰度恒星产生化学成分均匀的演化, 极大地增加了对流核的质量, 相应减小了氢包层厚度, 也可以产生WR星. 双星系统中发生洛希瓣物质交换, 将主星大量的氢包层物质转移到次星上, 也可使低金属丰度恒星产生WR星. 另外, 洛希瓣物质交换, 减少了氢包层的厚度以及对流核的温度和核反应速率, 主星表面的 4He, 12C, 19F, 22Ne, 23Na, 25Mg等元素的质量丰度高于相同初始条件的单星模型, 而 1H, 14N, 16O, 20Ne 和 26Al等元素的质量丰度却低于单星模型. 总之, 大质量星、初始转速快、金属丰度高、短轨道周期双星系统是形成WR星的有利条件.Wolf-Rayet stars (WR stars) were discovered by French astronomers Charles Wolf and Georges Rayet in 1867. The Wolf-Rayet (WR) stars are the evolved descents of the most massive, extremely hot (temperatures up to 200000 K) and very luminous (10 5
$ L_{\odot} $ -10 6$L_{\odot}$ ) O stars, with 25$ M_{\odot} $ -30$M_{\odot}$ solar mass for solar metallicity. The WR stars possess very strong stellar winds, which have velocities up to 3000 km/s and wind mass loss rate$10^{-5} M_{\odot}$ a year. These winds are observed in the broad emission line profiles (sometimes, even P-Cygni profiles) of WR spectra in the optical and UV range. Actually, these winds are so strong that they can peel the star and convert it into a nude nucleus without envelope. It has been found that three bright galactic stars located at Cygnus region have broad strong emission bands, rather than absorptions lines, superposed on the typical continuum of hot stars. In 1930 Beals correctly identified these features as emission lines produced by high ionized elements such as helium, carbon, nitrogen and oxygen. The physical factors which can affect the evolution of WR stars are explored in this paper. These physical factors include stellar mass, initial velocities, orbital periods, metallicities, etc. According to the equations for angular momentum transfer and chemical element diffusion, we can ascertainhow these physical factors influence the evolution of WR stars and the mixing of chemical elements in WR stars.The result indicates that massive stars with high initial velocities and metallicities have strong stellar winds and be prone to producing WR stars. In contrast with the counterpart with high metallicities,it is hard for the single star with low metallicity to generate WR star due to weak wind. However, the star with very high initial velocity and low metallicity can form chemical homogenious evolution. Thestar has an enlarged convective core and a very thin hydrogen envelope and it can also generate WR star. The component in the binary system with short orbital period can transfer mass to the companion star through Roche lobe overflow, and this physical process can produce WR star under the condition of low metallicity. Furthermore, mass removal due to Roche lobe overflow reduces the temperature of stellar convective core and rate of nuclear reaction. It is shown that mass metallicities of chemical elements including 4He, 12C, 19F, 22Ne, 23Na, 25Mg in the primary star are higher than those in the single stars, whereas mass metallicities of chemical elements including 1H, 14N, 16O, 20Ne, and 26Al are lower than those in the single counterparts. In a word, the conditions for massive stars with high initial velocities and metallicities in the binary system with short orbital period favor the formation of WR stars.-
Keywords:
- close binaries/
- evolution/
- rotation/
- tide
[1] [2] [3] [4] [5] [6] [7] [8] [9] [10] [11] [12] [13] [14] [15] [16] [17] [18] [19] [20] [21] [22] [23] [24] [25] [26] [27] [28] [29] [30] [31] [32] [33] [34] [35] [36] [37] [38] -
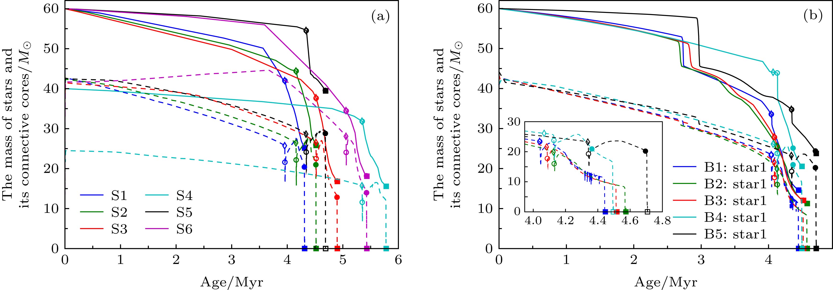
0.45 WR星的类型 判定依据 O型星 $\log (T_{\rm eff})>4.5$ WNL型星 $\log (T_{\rm eff})>4.0$ 和 $X_{\rm H} <0.3$ WNE型星 $X_{\rm H} <10^{-5}$ 和 $X_{\rm C} WNC型星 $\dfrac{X_{\rm C}}{X_{\rm N}}>0.1$ 和 $\dfrac{X_{\rm C}}{X_{\rm N}}<10$ WC型星 $X_{\rm C}>X_{\rm N}$ 和 $\rm \dfrac{C+O}{He}<1$ WO型星 $X_{\rm C}>X_{\rm N}$ 和 $\rm \dfrac{C+O}{He}>1$ 注: $T_{\rm eff}$是恒星的有效温度; ${X_{i} }/{X_{j} }$为恒星元素的质量丰度之比; $\rm ({C+O})/{He}$为数丰度之比. Models $M_1/M_\odot$ $M_2/M_\odot$ $Z$ $\alpha$ $P_{\rm orb, ini}$/d $V_{\rm ini, 1}$/km·s–1 $V_{\rm ini, 2}$/km·s–1 S1 60 — 0.014 0.0385 — 0 — S2 60 — 0.014 0.0385 — 300 — S3 60 — 0.014 0.0385 — 600 — S4 40 — 0.014 0.0385 — 300 — S5 60 — 0.0021 0.0385 — 300 — S6 60 — 0.0021 0.0385 — 600 — B1 60 40 0.014 0.0385 3.0 0 0 B2 60 40 0.014 0.0385 3.0 300 300 B3 60 40 0.014 0.0385 3.0 600 600 B4 60 40 0.014 0.0385 40.0 300 300 B5 60 40 0.0021 0.0385 3.0 300 300 注: B为双星系统, S为单星; $M_1$, $M_2$分别为主星和次星的质量(以太阳质量$M_{\odot}$为单位);Z为金属丰度; $\alpha$为对流超射系数;
$P_{\rm orb, ini}$为双星初始轨道周期; $V_{\rm ini, 1}$, $V_{\rm ini, 2}$分别为主星和次星的初始自转赤道速度.Sequence Age/Myr $M/M_{\odot}$ $\log T_{\rm eff}$ $\log ({L_{1}}/{L_{\odot}})$ $\rm [N/H]$ $V_{\rm eq}$/km·s–1 $\log T_{\rm c}$ $\log \rho_{\rm c}$ ZAMS S1 0.0000 60.00 4.68 5.72 7.84 0.00 7.60 0.31 S2 0.0000 60.00 4.66 5.70 7.84 300.00 7.59 0.29 S3 0.0000 60.00 4.63 5.64 7.84 600.00 7.58 0.26 S4 0.0000 40.00 4.62 5.34 7.84 300.00 7.57 0.40 S5 0.0000 60.00 4.67 5.74 6.99 300.00 7.57 0.24 S6 0.0000 60.00 4.65 5.70 6.99 600.00 7.56 0.21 TAMS S1 3.9511 42.02 4.42 5.98 9.01 0.00 7.81 0.91 S2 4.1537 44.42 4.46 6.00 8.96 18.07 7.81 0.90 S3 4.5124 37.75 4.69 5.98 9.29 18.66 7.81 0.92 S4 5.3408 31.87 4.22 5.70 8.63 1.42 7.79 1.00 S5 4.3346 54.56 4.29 6.05 7.96 7.21 7.87 1.05 S6 5.0531 34.52 4.88 5.99 8.96 25.65 7.86 1.10 BCHEB S1 3.9550 42.01 4.46 6.00 9.01 0.00 7.98 1.43 S2 4.1574 44.40 4.51 6.02 8.98 19.75 7.98 1.42 S3 4.5162 37.62 4.77 6.01 9.30 25.72 7.98 1.45 S4 5.3453 31.83 4.25 5.72 8.63 1.37 7.96 1.51 S5 4.3383 54.53 4.31 6.06 7.96 7.28 8.03 1.55 S6 5.0570 34.44 4.96 6.02 8.97 36.78 8.03 1.60 ECHEB S1 4.3054 25.27 5.21 5.99 23.45 0.00 8.53 3.13 S2 4.5120 25.94 5.21 6.00 23.02 158.64 8.53 3.13 S3 4.8924 16.90 5.20 5.74 24.64 76.49 8.51 3.22 S4 5.7771 15.57 5.35 5.79 25.17 327.58 8.88 4.59 S5 4.6825 39.56 4.45 6.19 8.45 5.98 8.54 3.07 S6 5.4231 18.20 5.21 5.79 28.82 49.92 8.52 3.21 BCCB S1 4.3099 25.16 5.33 6.06 16.72 0.00 8.83 4.14 S2 4.5167 25.81 5.34 6.07 19.18 286.44 8.85 4.24 S3 4.8980 16.80 5.34 5.83 20.60 149.13 8.86 4.45 S4 5.7772 15.57 5.36 5.79 25.28 334.92 8.92 4.78 S5 4.6870 39.45 4.46 6.25 8.57 37.32 8.84 4.12 S6 5.4284 18.10 5.34 5.87 20.66 94.78 8.85 4.35 ECCB S1 4.3100 25.15 5.42 6.09 18.59 0.00 9.07 5.25 S2 4.5167 25.81 5.42 6.10 18.47 313.57 9.06 5.19 S3 4.8981 16.80 5.41 5.86 20.55 157.94 9.06 5.40 S4 5.7772 15.57 5.40 5.81 25.43 367.73 9.03 5.33 S5 — — — — — — — — S6 5.4285 18.10 5.41 5.90 20.90 97.57 9.05 5.34 注: ZAMS为零龄主序; TAMS表示主序结束; BCHEB为中心氦核开始燃烧; ECHEB为中心氦核结束燃烧; BCCB 为中心碳核开始燃烧; CCB为中心碳核结束燃烧. Sequence Age
/Myr$P_{\rm orb}$
/d$M_{1}/M_{\odot}$ $M_{2}/M_{\odot}$ $\log(T_{\rm eff, 1})$
/K$\log \Big(\dfrac{L_{1}}{L_{\odot} }\Big)$ $\log(T_{\rm eff, 2})$
/K$\log \Big(\dfrac{L_{2}}{L_{\odot} }\Big)$ $\Big[\rm \dfrac{N_{1}}{H}\Big]$ $\Big[\rm \dfrac{N_{2}}{H}\Big]$ $V_{\rm eq1}$/
km·s–1$V_{\rm eq2}$/
km·s–1$\log T_{\rm c}$/
K$\log \rho_{\rm c}$/
g·cm–3ZAMS B1 0.0000 3.00 60.00 40.00 4.68 5.71 4.64 5.36 7.84 7.84 0.00 0.00 7.62 0.37 B2 0.0000 3.00 60.00 40.00 4.67 5.70 4.63 5.34 7.84 7.84 288.35 294.86 7.61 0.35 B3 0.0000 3.00 60.00 40.00 4.64 5.65 4.59 5.27 7.84 7.84 566.93 581.75 7.60 0.32 B4 0.0000 40.00 60.00 40.00 4.67 5.70 4.63 5.34 7.84 7.84 288.35 294.86 7.61 0.35 B5 0.0000 3.00 60.00 40.00 4.69 5.66 4.65 5.29 6.99 6.99 306.83 301.14 7.66 0.50 BTM1 B1 2.6862 3.60 53.01 38.15 4.59 5.84 4.59 5.48 7.84 7.84 0.00 0.00 7.64 0.39 B2 2.6314 3.63 51.90 38.00 4.59 5.82 4.59 5.47 8.25 7.94 250.24 162.73 7.63 0.39 B3 2.7810 4.12 51.34 37.86 4.57 5.83 4.59 5.48 8.22 7.96 238.80 146.79 7.64 0.40 B4 4.1328 63.17 43.82 35.94 4.23 6.02 4.49 5.56 9.05 8.69 35.18 120.39 8.24 2.26 B5 2.9131 3.25 57.69 39.46 4.60 5.86 4.61 5.47 7.34 7.07 270.95 164.95 7.68 0.52 ETM1 B1 3.8956 4.25 36.84 43.77 4.62 5.90 4.57 5.67 9.20 8.18 0.00 0.00 7.70 0.61 B2 2.7305 3.41 45.44 43.82 4.60 5.78 4.61 5.57 8.66 8.26 239.26 177.55 7.63 0.42 B3 2.9777 3.92 44.57 43.27 4.59 5.81 4.60 5.58 8.83 8.25 226.58 161.96 7.64 0.44 B4 4.1426 65.47 36.94 36.00 4.27 6.10 4.49 5.56 9.26 8.67 73.07 330.19 8.31 2.47 B5 3.9817 3.61 38.02 51.22 4.63 5.87 4.65 5.73 8.27 7.82 217.02 168.84 7.72 0.69 TAMS B1 4.0397 4.65 33.60 43.48 4.68 5.91 4.56 5.68 9.30 8.18 0.00 0.00 7.81 0.95 B2 4.1254 5.13 25.57 43.47 4.83 5.79 4.53 5.69 9.86 8.41 20.52 193.13 7.80 0.99 B3 4.0832 5.43 27.93 43.40 4.81 5.84 4.54 5.68 9.66 8.44 19.99 174.17 7.80 0.97 B4 4.0693 62.61 44.06 36.03 4.41 5.97 4.54 5.56 8.82 8.63 6.63 68.60 7.72 0.65 B5 4.3382 3.81 34.79 50.91 4.68 5.92 4.63 5.75 8.44 7.81 169.76 181.54 7.86 1.10 BCHEB B1 4.0409 4.65 33.57 43.48 4.69 5.91 4.56 5.68 9.30 8.18 0.00 0.00 7.82 0.99 B2 4.1297 5.15 25.44 43.46 4.92 5.82 4.53 5.69 9.87 8.41 30.07 192.49 7.97 1.52 B3 4.0874 5.45 27.80 43.39 4.90 5.87 4.54 5.68 9.68 8.44 29.48 173.40 7.98 1.50 B4 4.1281 63.03 43.88 35.95 4.48 5.99 4.53 5.56 9.04 8.63 4.75 60.68 7.91 1.21 B5 4.3422 3.82 34.74 50.91 4.75 5.94 4.63 5.76 8.44 7.81 149.04 181.17 8.02 1.60 BMT2 B1 4.0474 4.67 33.39 43.47 4.63 6.00 4.58 5.69 9.30 9.30 0.00 0.00 8.24 2.29 B2 3.1581 3.55 43.04 43.10 4.61 5.81 4.59 5.59 8.99 8.19 231.13 191.20 7.64 0.45 B3 3.1290 3.97 43.65 43.04 4.59 5.82 4.59 5.58 8.93 8.23 223.55 166.73 7.64 0.45 B4 — — — — — — — — — — — — — — B5 4.3460 3.84 34.70 50.90 4.66 5.99 4.63 5.76 8.44 7.81 187.54 180.93 8.26 2.34 EMT2 B1 4.0562 5.13 30.44 45.39 4.65 6.06 4.62 5.72 9.48 8.74 0.00 0.00 8.31 2.49 B2 3.5409 3.78 37.67 44.95 4.61 5.82 4.59 5.65 9.06 8.42 212.81 195.54 7.66 0.51 B3 3.6151 4.27 37.66 44.50 4.60 5.84 4.58 5.65 9.07 8.44 203.84 175.46 7.66 0.52 B4 — — — — — — — — — — — — — — B5 4.3517 4.25 31.33 51.54 4.67 6.05 4.64 5.77 8.60 7.91 174.27 292.23 8.31 2.49 ECHEB B1 4.4454 8.50 14.60 44.32 5.30 5.71 4.57 5.75 25.43 8.65 0.00 0.00 8.74 3.96 B2 4.5716 8.31 11.27 42.40 5.27 5.52 4.45 5.73 24.26 8.41 58.94 181.80 8.70 3.93 B3 4.5155 9.20 12.05 42.46 5.27 5.56 4.47 5.71 24.15 8.44 52.74 142.55 8.68 3.83 B4 4.3645 94.44 25.01 35.66 5.14 5.92 4.50 5.58 24.02 8.65 0.32 127.17 8.37 2.68 B5 4.6953 5.16 24.36 51.19 5.18 5.95 4.61 5.80 27.78 7.85 6.01 149.71 8.48 2.99 BCCB B1 4.4468 8.51 14.58 44.31 5.35 5.75 4.57 5.75 24.91 8.65 0.00 0.00 8.89 4.66 B2 4.5741 8.32 11.24 42.40 5.33 5.58 4.45 5.73 23.39 8.41 67.64 179.57 8.85 4.60 B3 4.5184 9.22 12.02 42.45 5.34 5.62 4.47 5.71 24.42 8.44 62.74 140.22 8.88 4.71 B4 4.4963 110.76 20.53 35.48 5.36 5.95 4.48 5.59 24.89 8.65 0.56 99.94 8.90 4.56 B5 4.7078 5.25 23.75 51.18 5.37 6.03 4.61 5.80 23.51 7.85 10.68 146.97 8.92 4.63 ECCB B1 4.4469 8.51 14.58 44.31 5.41 5.77 4.57 5.75 24.88 8.65 0.00 0.00 9.04 5.38 B2 4.5743 8.32 11.24 42.40 5.37 5.60 4.45 5.73 22.95 8.41 66.77 173.97 9.01 5.44 B3 4.5185 9.22 12.01 42.45 5.38 5.64 4.47 5.71 24.41 8.44 63.39 136.75 9.01 5.41 B4 4.4963 110.77 20.53 35.48 5.42 5.97 4.48 5.59 24.88 8.65 0.67 98.21 9.05 5.22 B5 4.7078 5.25 23.75 51.18 5.42 6.04 4.61 5.80 23.50 7.85 12.57 144.92 9.05 5.18 Sequence Age/Myr $M_1/M_{\odot}$ log($X_{\rm ^{1}H}$) log($X_{\rm ^{4}He}$) log($X_{\rm ^{12}C}$) log($X_{\rm ^{14}N}$) log($X_{\rm ^{16}O}$) log($X_{\rm ^{19}F}$) log($X_{\rm ^{20}Ne}$) log($X_{\rm ^{22}Ne}$) $X_{\rm ^{26}Al}$ ZAMS S1 0.0000 60.00 –0.14 –0.58 –2.62 –3.15 –2.18 –6.46 –2.87 –3.96 0 S2 0.0000 60.00 –0.14 –0.58 –2.62 –3.15 –2.18 –6.46 –2.87 –3.96 0 S6 0.0000 60.00 –0.12 –0.63 –3.45 –3.98 –3.01 –7.28 –3.69 –4.78 0 TAMS S1 3.9511 42.02 –0.23 –0.40 –3.91 –2.08 –3.07 –9.23 –2.87 –6.77 9.77 × 10–6 S2 4.1537 44.42 –0.22 –0.42 –3.70 –2.11 –2.86 –7.86 –2.87 –5.37 4.57 × 10–6 S6 5.0531 34.52 –0.99 –0.05 –4.56 –2.88 –4.60 –10.46 –3.83 –7.51 4.36 × 10–6 BCHEB S1 3.9550 42.01 –0.23 –0.40 –3.91 –2.08 –3.07 –9.23 –2.87 –6.77 9.77 × 10–6 S2 4.1574 44.40 –0.22 –0.41 –3.77 –2.10 –2.91 –8.07 –2.87 –5.58 4.89 × 10–6 S6 5.0570 34.44 –0.99 –0.05 –4.56 –2.88 –4.60 –10.46 –3.83 –7.51 4.36 × 10–6 WNL S1 4.1147 34.94 –0.58 –0.14 –3.87 –2.06 –3.63 –9.72 –2.88 –6.53 4.16 × 10–5 S2 4.3343 36.29 –0.57 –0.14 –3.82 –2.06 –3.59 –9.67 –2.88 –6.45 3.54 × 10–5 S6 4.1796 48.34 –0.52 –0.16 –4.60 –2.88 –4.55 –10.50 –3.79 –7.50 4.46 × 10–6 WNE S1 4.1801 31.26 –5.02 –0.01 –3.73 –2.05 –3.77 –9.61 –2.89 –6.56 5.62 × 10–5 S2 — — — — — — — — — — — S6 — — — — — — — — — — — WC S1 4.2217 28.36 –21.87 –0.51 –0.34 –17.12 –0.68 –4.71 –2.80 –1.88 1.12 × 10–15 S2 4.4173 30.79 –5.22 –0.02 –1.50 –2.06 –2.05 –5.72 –2.89 –2.91 4.67 × 10–5 S6 5.2107 29.81 –5.80 –0.02 –1.37 –2.89 –2.52 –6.15 –3.84 –3.38 3.80 × 10–6 WO S1 4.2569 26.70 –21.35 –0.65 –0.34 –16.95 –0.52 –4.72 –2.70 –1.89 2.57 × 10–15 S2 4.4302 28.58 –17.68 –0.71 –0.36 –5.17 –0.45 –4.72 –2.63 –1.91 4.16 × 10–8 S6 5.3898 18.84 –29.68 –0.64 –0.32 –17.99 –0.55 –5.48 –3.51 –2.71 8.51 × 10–17 ECHEB S1 4.3054 25.27 –29.41 –0.77 –0.37 –16.81 –0.41 –4.72 –2.59 –1.91 5.01 × 10–15 S2 4.5120 25.94 –28.78 –0.82 –0.39 –16.61 –0.38 –4.72 –2.54 –1.93 7.07 × 10–15 S6 5.4231 18.20 –35.90 –0.71 –0.33 –17.93 –0.48 –5.48 –3.43 –2.72 1.14 × 10–16 BCCB S1 4.3099 25.16 –22.67 –0.79 –0.37 –16.80 –0.40 –4.73 –2.58 –1.92 5.37 × 10–15 S2 4.5167 25.81 –24.97 –0.83 –0.40 –16.64 –0.37 –4.72 –2.52 –1.93 7.58 × 10–15 S6 5.4284 18.10 –27.74 –0.72 –0.33 –17.93 –0.47 –5.48 –3.41 –2.72 1.54 × 10–16 ECCB S1 4.3100 25.15 –24.54 –0.79 –0.37 –16.80 –0.40 –4.73 –2.58 –1.92 5.37 × 10–15 S2 4.5167 25.81 –24.26 –0.83 –0.40 –16.64 –0.37 –4.72 –2.52 –1.93 7.76 × 10–15 S6 5.4285 18.10 –27.99 –0.72 –0.33 –17.93 –0.47 –5.48 –3.41 –2.72 1.54 × 10–16 Sequence Age/Myr $M_1/M_{\odot}$ log($X_{\rm ^{1}H}$) log($X_{\rm ^{4}He}$) log($X_{\rm ^{12}C}$) log($X_{\rm ^{14}N}$) log($X_{\rm ^{16}O}$) log($X_{\rm ^{19}F}$) log($X_{\rm ^{20}Ne}$) log($X_{\rm ^{22}Ne}$) $X_{\rm ^{26}Al}$ ZAMS B1 0.0000 60.00 –0.14 –0.58 –2.62 –3.15 –2.18 –6.46 –2.87 –3.96 0 B2 0.0000 60.00 –0.14 –0.58 –2.62 –3.15 –2.18 –6.46 –2.87 –3.96 0 BTM1 B1 2.6862 53.01 –0.14 –0.58 –2.62 –3.15 –2.18 –6.54 –2.95 –4.04 3.31 × 1021 B2 2.6314 51.90 –0.14 –0.58 –2.76 –2.74 –2.21 –6.66 –2.95 –4.16 3.38 × 10–7 ETM1 B1 3.8956 36.84 –0.40 –0.23 –3.87 –2.06 –3.56 –9.69 –2.96 –6.62 1.81 × 10–5 B2 2.7305 45.44 –0.16 –0.53 –3.02 –2.36 –2.38 –6.94 –2.95 –4.45 3.89 × 10–6 ECHB B1 4.0397 33.60 –0.50 –0.18 –3.85 –2.05 –3.61 –9.72 –2.96 –6.61 2.45 × 10–5 B2 4.1254 25.57 –1.06 –0.05 –3.80 –2.05 –3.67 –9.68 –2.96 –6.63 4.16 × 10–5 BCHEB B1 4.0409 33.57 –0.50 –0.18 –3.85 –2.05 –3.61 –9.72 –2.96 –6.61 2.45 × 10–5 B2 4.1297 25.44 –1.07 –0.05 –3.80 –2.05 –3.67 –9.68 –2.96 –6.63 4.16 × 10–5 BMT2 B1 4.0474 33.39 –0.50 –0.18 –3.85 –2.05 –3.61 –9.72 –2.96 –6.61 2.51 × 10–5 B2 3.1581 43.04 –0.24 –0.39 –3.80 –2.09 –2.95 –8.24 –2.95 –5.76 1.31 × 10–5 WNL B1 4.0480 32.78 –0.52 –0.16 –3.85 –2.05 –3.61 –9.73 –2.96 –6.62 2.81 × 10–5 B2 3.8633 32.25 –0.52 –0.16 –3.85 –2.05 –3.61 –9.72 –2.96 –6.60 2.95 × 10–5 EMT2 B1 4.0562 30.44 –0.68 –0.11 –3.84 –2.05 –3.64 –9.72 –2.96 –6.60 3.89 × 10–5 B2 3.5409 37.67 –0.28 –0.34 –3.86 –2.07 –3.16 –8.72 –2.95 –6.19 1.41 × 10–5 WNE B1 4.1344 26.76 –5.00 –0.01 –3.73 –2.05 –3.76 –9.59 –2.97 –6.65 4.78 × 10–5 B2 4.2129 22.30 –5.18 –0.01 –3.68 –2.06 –3.74 –9.45 –2.97 –6.52 4.78 × 10–5 WC B1 4.1976 23.92 –28.45 –0.09 –0.80 –14.82 –2.17 –4.58 –2.97 –1.87 6.45 × 10–17 B2 4.2498 21.01 –10.94 –0.01 –2.05 –2.10 –3.40 –5.62 –2.97 –2.91 4.36 × 10–5 WO B1 4.4339 14.75 –31.67 –0.64 –0.31 –17.28 –0.58 –4.59 –2.85 –1.88 5.62 × 10–5 B2 — — — — — — — — — — — ECHEB B1 4.4454 14.60 –31.77 –0.70 –0.31 –17.19 –0.53 –4.59 –2.82 –1.89 7.76 × 10–16 B2 4.5716 11.27 –30.86 –0.60 –0.30 –17.45 –0.65 –4.58 –2.90 –1.88 2.45 × 10–16 BCCB B1 4.4468 14.58 –31.25 –0.70 –0.31 –17.19 –0.53 –4.59 –2.82 –1.89 7.76 × 10–16 B2 4.5741 11.24 –29.98 –0.61 –0.30 –17.44 –0.64 –4.58 –2.90 –1.88 2.51 × 10–16 ECCB B1 4.4469 14.58 –31.22 –0.70 –0.31 –17.19 –0.53 –4.59 –2.82 –1.89 7.76 × 10–16 B2 4.5743 11.24 –29.54 –0.61 –0.30 –17.44 –0.64 –4.58 –2.90 –1.88 2.51 × 10–16 -
[1] [2] [3] [4] [5] [6] [7] [8] [9] [10] [11] [12] [13] [14] [15] [16] [17] [18] [19] [20] [21] [22] [23] [24] [25] [26] [27] [28] [29] [30] [31] [32] [33] [34] [35] [36] [37] [38]
计量
- 文章访问数:9419
- PDF下载量:65
- 被引次数:0












下载:





