| [1] |
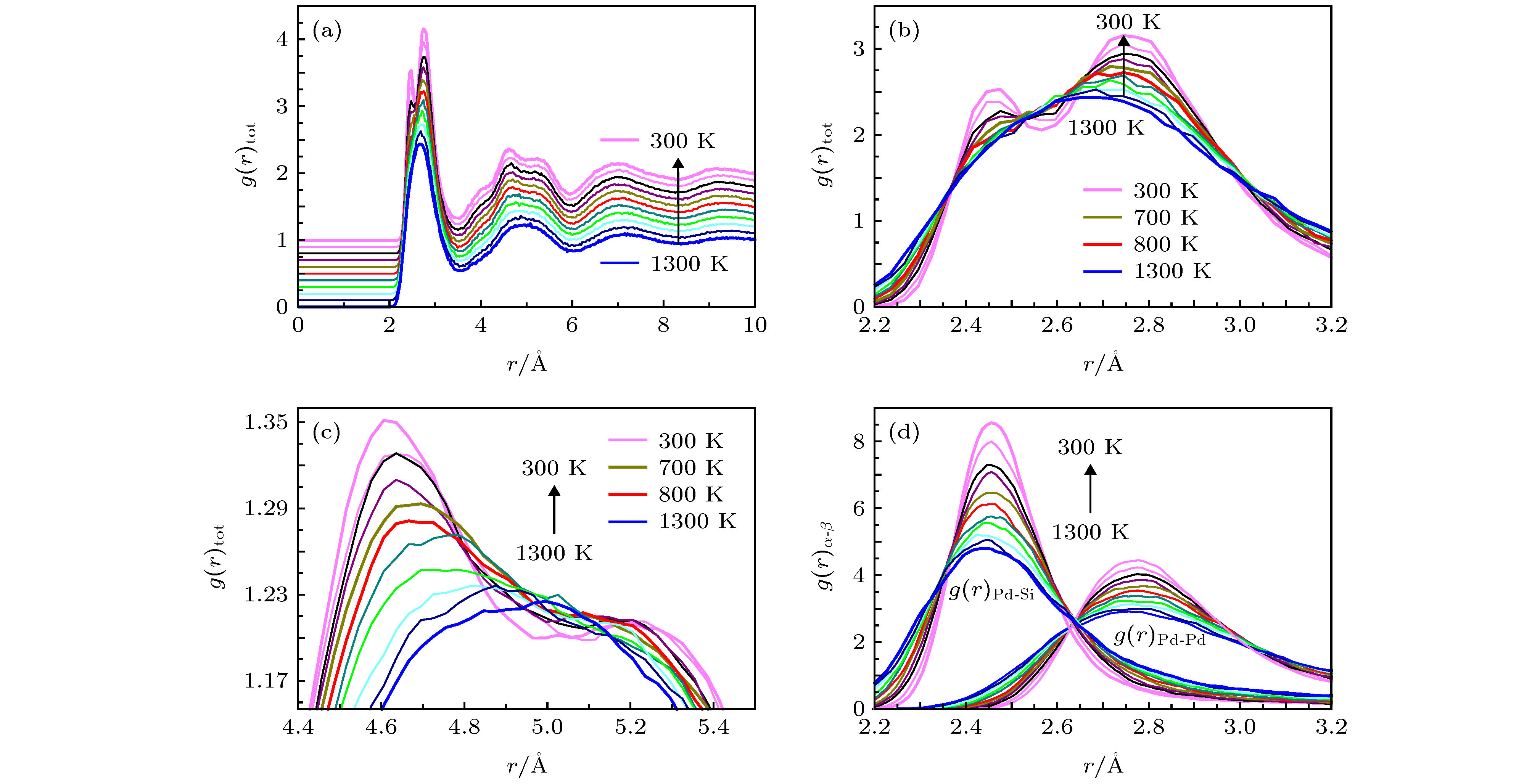
陈贝, 邓永和, 祁青华, 高明, 文大东, 王小云, 彭平.高压下快凝Pd82Si18非晶合金中二十面体结构分析. 必威体育下载 , 2024, 73(2): 026101.doi:10.7498/aps.73.20231101 |
| [2] |
金英捷, 耿德路, 林茂杰, 胡亮, 魏炳波.静电悬浮条件下液态Zr60Ni25Al15合金的热物理性质与快速凝固机制. 必威体育下载 , 2024, 73(8): 086401.doi:10.7498/aps.73.20232002 |
| [3] |
文大东, 祁青华, 黄欣欣, 易洲, 邓永和, 田泽安, 彭平.液态Ta快凝过程中团簇的遗传及其与局域对称性的关联. 必威体育下载 , 2023, 72(24): 246101.doi:10.7498/aps.72.20231153 |
| [4] |
徐山森, 常健, 吴宇昊, 沙莎, 魏炳波.液态五元Ni-Zr-Ti-Al-Cu合金快速凝固过程的高速摄影研究. 必威体育下载 , 2019, 68(19): 196401.doi:10.7498/aps.68.20190910 |
| [5] |
谷倩倩, 阮莹, 代富平.微重力下Fe-Al-Nb合金液滴的快速凝固机理及其对显微硬度的影响. 必威体育下载 , 2017, 66(10): 106401.doi:10.7498/aps.66.106401 |
| [6] |
朱海哲, 阮莹, 谷倩倩, 闫娜, 代富平.落管中Ni-Fe-Ti合金的快速凝固机理及其磁学性能. 必威体育下载 , 2017, 66(13): 138101.doi:10.7498/aps.66.138101 |
| [7] |
夏瑱超, 王伟丽, 罗盛宝, 魏炳波.三元等原子比Fe33.3Cu33.3Sn33.3合金的快速凝固机理与室温组织磁性研究. 必威体育下载 , 2016, 65(15): 158101.doi:10.7498/aps.65.158101 |
| [8] |
邓永和, 文大东, 彭超, 韦彦丁, 赵瑞, 彭平.二十面体团簇的遗传:一个与快凝Cu56Zr44合金玻璃形成能力有关的动力学参数. 必威体育下载 , 2016, 65(6): 066401.doi:10.7498/aps.65.066401 |
| [9] |
吴丽君, 随强涛, 张多, 张林, 祁阳.SimGen(m+n=9)团簇结构和电子性质的计算研究. 必威体育下载 , 2015, 64(4): 042102.doi:10.7498/aps.64.042102 |
| [10] |
王小娟, 阮莹, 洪振宇.Al-Cu-Ge合金的热物理性质与快速凝固规律研究. 必威体育下载 , 2014, 63(9): 098101.doi:10.7498/aps.63.098101 |
| [11] |
文大东, 彭平, 蒋元祺, 田泽安, 刘让苏.快凝过程中液态Cu64Zr36合金二十面体团簇遗传与演化跟踪. 必威体育下载 , 2013, 62(19): 196101.doi:10.7498/aps.62.196101 |
| [12] |
阮文, 谢安东, 余晓光, 伍冬兰.NaBn(n=19)团簇的几何结构和电子性质. 必威体育下载 , 2012, 61(4): 043102.doi:10.7498/aps.61.043102 |
| [13] |
鲁晓宇, 廖霜, 阮莹, 代富平.快速凝固Ti-Cu-Fe合金的相组成与组织演变规律. 必威体育下载 , 2012, 61(21): 216102.doi:10.7498/aps.61.216102 |
| [14] |
闫娜, 王伟丽, 代富平, 魏炳波.三元Co-Cu-Pb偏晶合金的快速凝固组织形成规律研究. 必威体育下载 , 2011, 60(3): 036402.doi:10.7498/aps.60.036402 |
| [15] |
李志强, 王伟丽, 翟薇, 魏炳波.快速凝固Fe62.1Sn27.9Si10合金的分层组织和偏晶胞形成机理. 必威体育下载 , 2011, 60(10): 108101.doi:10.7498/aps.60.108101 |
| [16] |
徐锦锋, 范于芳, 陈娓, 翟秋亚.快速凝固Cu-Pb过偏晶合金的性能表征. 必威体育下载 , 2009, 58(1): 644-649.doi:10.7498/aps.58.644 |
| [17] |
殷涵玉, 鲁晓宇.深过冷Cu60Sn30Pb10偏晶合金的快速凝固. 必威体育下载 , 2008, 57(7): 4341-4346.doi:10.7498/aps.57.4341 |
| [18] |
翟秋亚, 杨 扬, 徐锦锋, 郭学锋.快速凝固Cu-Sn亚包晶合金的电阻率及力学性能. 必威体育下载 , 2007, 56(10): 6118-6123.doi:10.7498/aps.56.6118 |
| [19] |
袁勇波, 刘玉真, 邓开明, 杨金龙.SiN团簇光电子能谱的指认. 必威体育下载 , 2006, 55(9): 4496-4500.doi:10.7498/aps.55.4496 |
| [20] |
徐锦锋, 魏炳波.快速凝固Co-Cu包晶合金的电学性能. 必威体育下载 , 2005, 54(7): 3444-3450.doi:10.7498/aps.54.3444 |