-
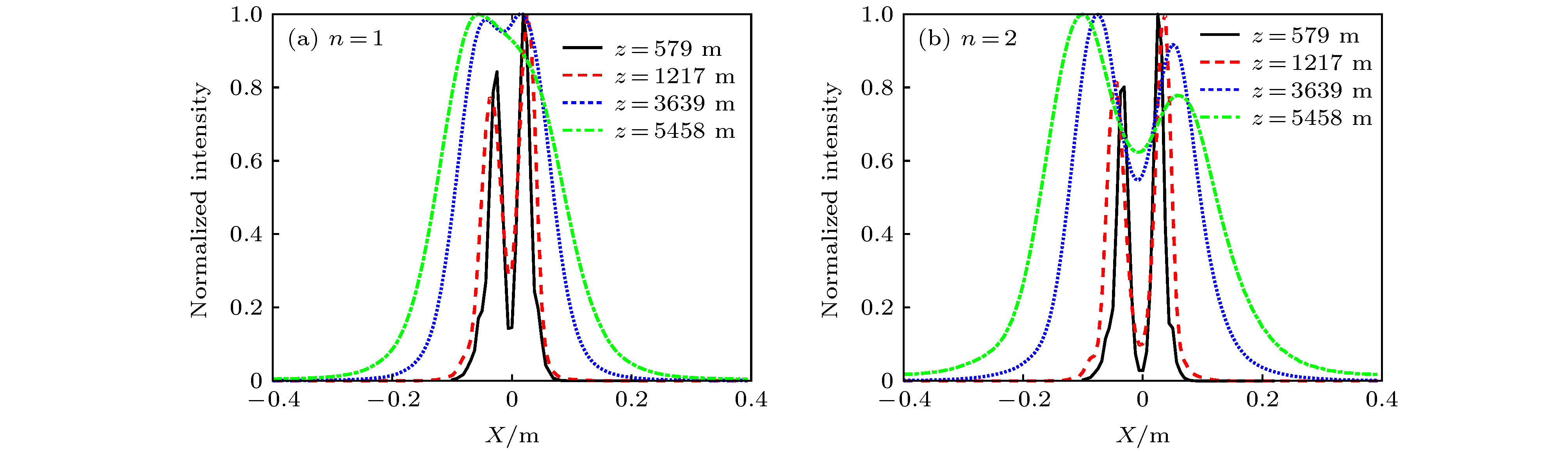
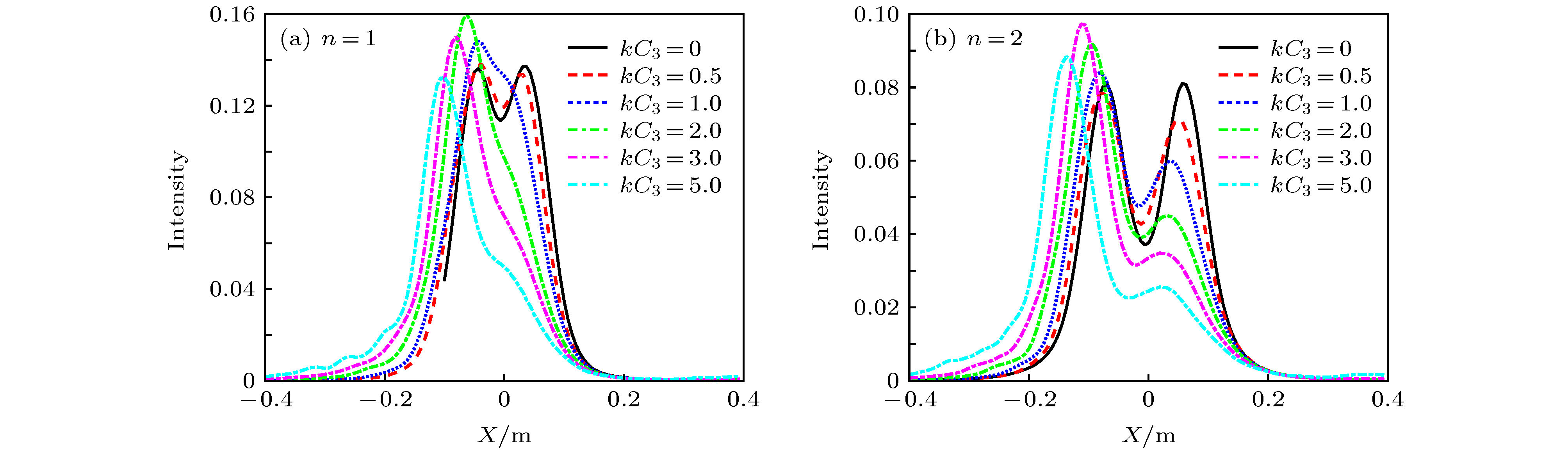
利用涡旋光束作为空间光通信载波可以大大提高数据传输的容量, 因此, 研究涡旋光束在大气湍流中的传输具有重要意义. 涡旋光束在大气湍流中传输时会产生光束漂移, 进而影响通信系统的性能. 本文基于多相位屏和傅里叶变换的方法, 研究了带有彗差和球差的涡旋光束在大气湍流中传输时的光束漂移特性. 结果表明, 涡旋光束在大气湍流中传输时, 随着传输距离的增大, 彗差和球差对光束漂移特性的影响均明显增强. 传输天顶角及彗差系数越大, 涡旋光束的光束漂移量越大, 而球差系数的增大, 将会降低光束漂移量. 当天顶角和传输距离相同时, 涡旋光束的漂移量都会随着拓扑荷数的增大而减小. 相对而言, 彗差对涡旋光束的光束漂移特性影响比球差更大.Vortex beam has potential applications in free space optical communication because of its capacity of data transmission. Therefore, it is necessary to study the propagation characteristics of vortex beams in atmospheric turbulence. When the vortex beam propagates in the atmospheric turbulence the beam drift will occur, which has a great influence on the free space optical communication. In this paper, the beam drift of vortex beams with coma and spherical aberration transmitted in atmospheric turbulence is studied by using multi-phase screen and Fourier transform method. The numerical results show that as the transmission distance increases, the effects of both coma and spherical aberration on the beam drift are enhanced. The larger the transmission zenith angle and the coma coefficients, the greater the beam drift of the vortex beam is. However, the beam drift decreases with spherical aberration coefficient increasing. When the zenith angle and the transmission distance are both unchanged, the beam drift of the both vortex beams decrease with topological charges increasing. The influence of coma aberration on beam drift is bigger than that of spherical aberration.
-
Keywords:
- coma/
- spherical aberration/
- beam drift/
- vortex
[1] [2] [3] [4] [5] [6] [7] [8] [9] [10] [11] [12] [13] [14] [15] [16] [17] [18] [19] [20] [21] [22] [23] [24] [25] [26] [27] [28] [29] [30] -
[1] [2] [3] [4] [5] [6] [7] [8] [9] [10] [11] [12] [13] [14] [15] [16] [17] [18] [19] [20] [21] [22] [23] [24] [25] [26] [27] [28] [29] [30]
计量
- 文章访问数:7245
- PDF下载量:78
- 被引次数:0












下载:









