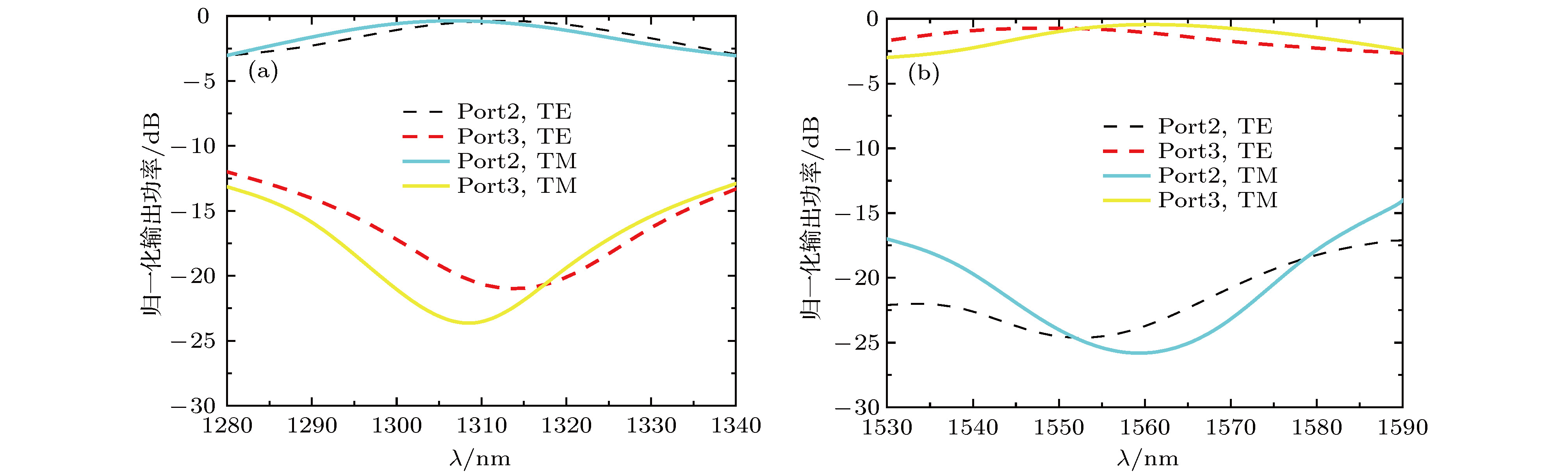
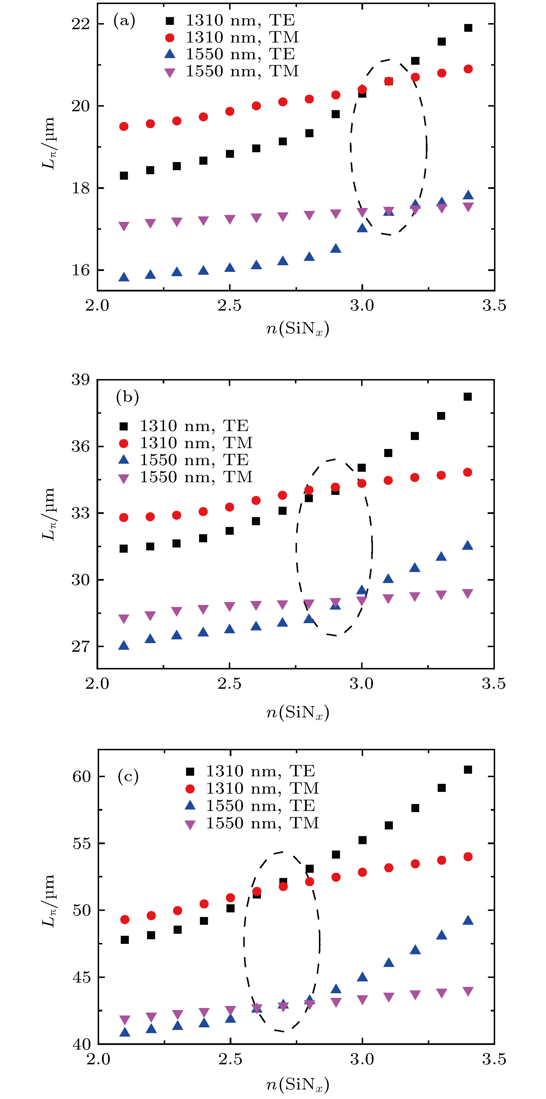
An ultra-compact 1 × 2 demultiplexer based on multimode interference (MMI) waveguide is proposed to separate the 1310 nm and 1550 nm wavelengths, in which Si
3N
4/SiN
x/Si
3N
4sandwiched structure is used to realize polarization insensitivity. Firstly, how to use Si
3N
4/SiN
x/Si
3N
4sandwich structure to achieve polarization-independent is discussed. Keeping the width of MMI waveguide
W
MMIunchanged, the beat lengths of two orthogonal polarization states at same wavelength versus refractive indexes of SiN
xare calculated. Similar simulation curves with different
W
MMIvalues and wavelengths are also provided. The result shows that there are crossing points in the beat length curves. It means that the beat lengths for the two orthogonal polarization states at the same wavelength can be identical by choosing the proper refractive index of the SiN
x. More importantly, under exactly the same premise, for the two wavelengths, their crossing points are almost identical. Then, how to realize the function of wavelength separation is studied. A variable called the beat length ratio is given, which is defined as the beat length ratio of two working wavelengths under the same polarization state. When the beat length ratio equals an even number divided by an odd number, one wavelength is even multiple of beat length and the other wavelength is odd multiple of beat length, and vice versa, that is to say, a single image and a mirror image for the two working wavelengths are formed respectively. Therefore, the two working wavelengths will output from different output ports, therefore the two wavelengths are successfully separated from each other. The demultiplexer based on Si
3N
4/SiO
2platform has a compact structure, easy integration and good tolerance. Three-dimensional finite-difference time-domain method is used for simulation, and the results show that the size of the MMI waveguide is 4.6 μm × 227.7 μm; the insertion loss and crosstalk are as low as 0.18 dB and –25.7 dB respectively; a broad 3-dB bandwidth of 60 nm is achieved. Moreover, the fabrication deviation of the key structural parameters about the device is discussed in detail, and the insertion loss and crosstalk are considered. To demonstrate the transmission characteristics of the demultiplexer, the evolution of the excited fundamental mode in the demultiplexer is also given. The novel demultiplexer is polarization independent and can work at wavelengths of 1310 nm and 1550 nm simultaneously. It has potential application value in future integrated optical circuits.