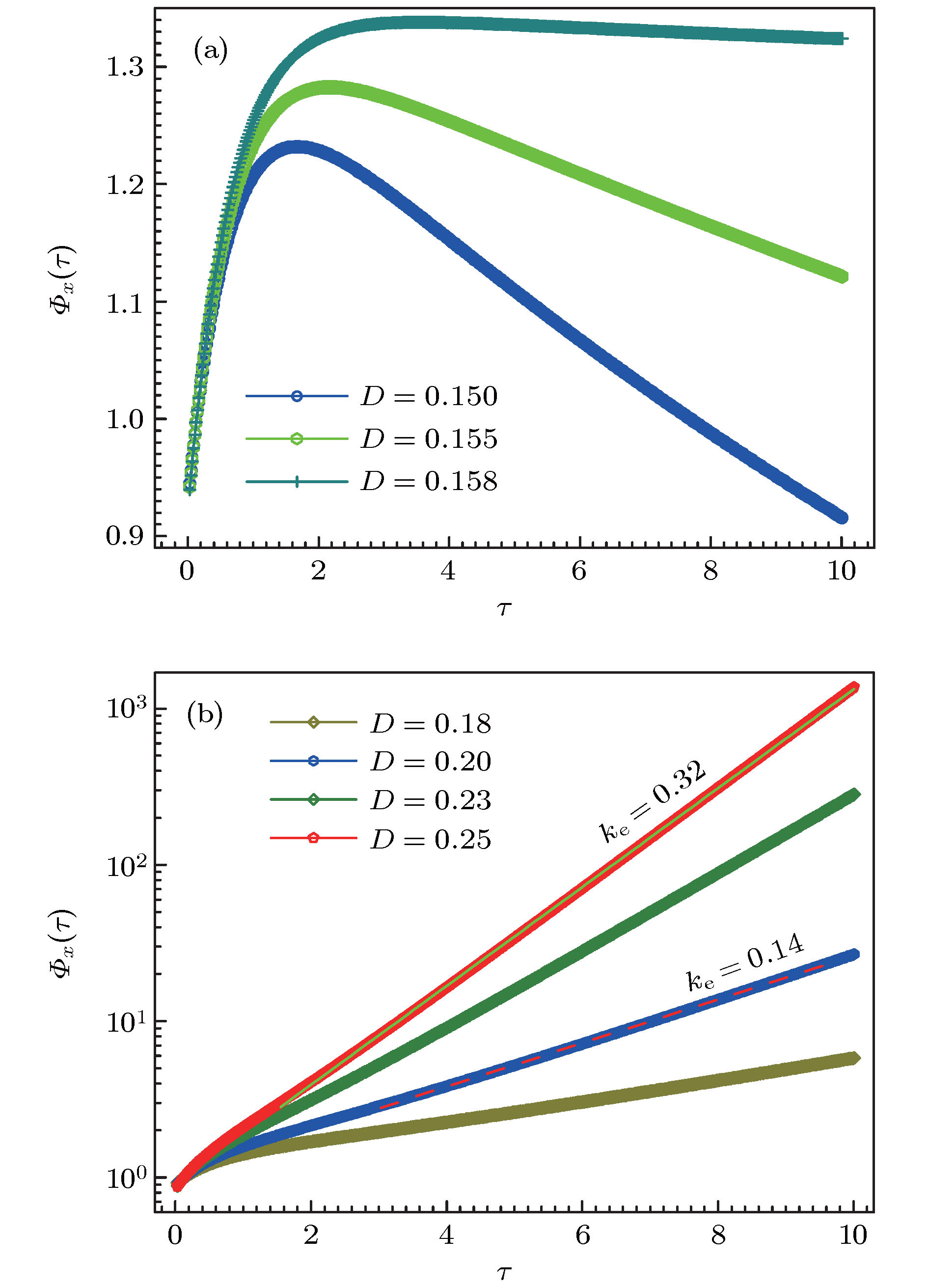
From the perspective of physics, evolution of group opinion can be regarded as the collective effect of the state change of opinion particles. It is similar to a material particle system that there is usually a dynamic criticality in the opinion state transition of a group, and is dominated by a scaling law. To exhibit this phenomenon, a bistable potential field is introduced to mimic the opinion transition by the jump from one stable state to the other. In this investigation, we will focus on the state change of the opinion particles induced by the noise. The time correlation function and the relaxation time describing drive-response relationship are calculated, by using of the generalized Laguerre weight complete set of orthogonal functions method, to reveal the regularity and the relative mechanism governing the state change of the opinion particle confined by the bistable potential and affected by the noise. The results indicate that there is a critical value
D
cfor noise intensity. When the noise intensity is greater than
D
c, the time correlation function will increase exponentially with correlation time
τ. There also are two points at which the dependence of the relaxation time on the noise intensity/aspect ratio of the energy barrier are divergent. The divergence implies that the state transition of opinion particles cannot be achieved. It is worth noting that there is a linear relationship between the relaxation time and the aspect ratio of energy barrier. This relation means that there is a drive-response relationship for opinion particles in the bistable potential field just like the Newton’s second law, in which the time relaxation plays the role of quasi-inertia. This result also implies another important conclusion that the energy and information may be equated due to the fact that the opinion particle transiting from one stable state to the other needs obtaining energy to climb over the barrier, and from another point of view, the transition can be regarded as the opinion particle having been obtaining information via the noise correlation. These investigations may provide us with new understandings to the evolution of group opinion.