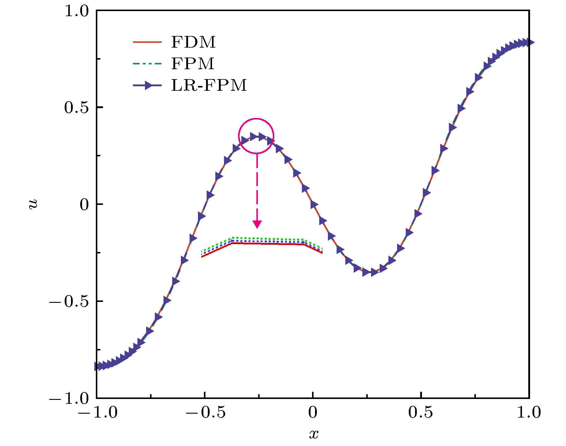
The phase separation phenomenon between different matters plays an important role in many science fields. And the high order nonlinear Cahn-Hilliard (C-H) equation is often used to describe the phase separation phenomenon between different matters. However, it is difficult to solve the high-order nonlinear C-H equations by the theorical methods and the grid-based methods. Therefore, in this work the meshless methods are addressed, and a local refinement finite pointset method (LR-FPM) is proposed to numerically investigate the high-order nonlinear C-H equations with different boundary conditions. Its constructive process is as follows. 1) The fourth derivative is decomposed into two second derivatives, and then the spatial derivative is discretized by FPM based on the Taylor series expansion and weighted least square method. 2) The local refinement and quintic spline kernel function are employed to improve the numerical accuracy. 3) The Neumann boundary condition with high-order derivatives is accurately imposed when solving the local linear equation sets. The 1D/2D C-H equations with different boundary conditions are first solved to show the ability of the LR-FPM, and the analytical solutions are available for comparison. Meanwhile, we also investigate the numerical error and convergence order of LR-FPM with uniform/non-uniform particle distribution and local refinement. Finally, 1D/2D C-H equation without analytical solution is predicted by using LR-FPM, and compared with the FDM result. The numerical results show that the implement of the boundary value condition is accurate, the LR-FPM indeed has a higher numerical accuracy and convergence order, is more flexible and applicable than the grid-based FDM, and can accurately predict the time evolution of nonlinear diffusive phase separation phenomenon between different materials time.