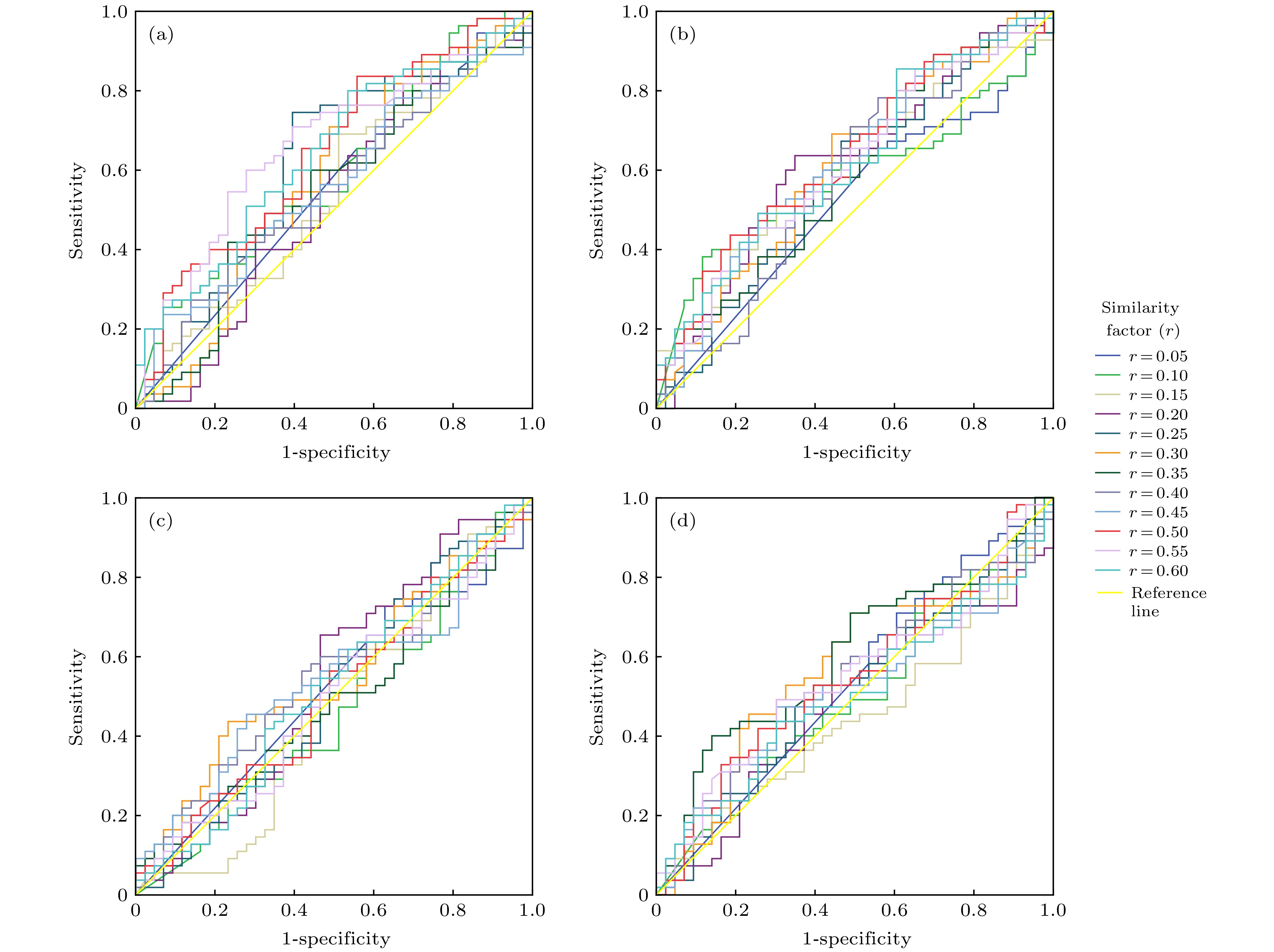
At present, resting state functional magnetic resonance imaging (rfMRI) has provided an efficient, rapid and advanced technology for brain function detection. Entropy can capture the dynamic characteristics of neural signals and might be used as a quantitative evaluation parameter. However, there are some problems remain solved yet, such as the entropy model computing with a fixed scale, and whether the entropy model could evaluate the cognitive performance.These problems will affect the accuracy of detection. Therefore, the multi-scale entropy model combined with a machine learning method is proposed here to investigate the relationship between complexity derived from BOLD signal and cognitive score of healthy elderly people, so as to some new imaging biomarkers could be illuminate by rfMRI. A total of 98 healthy old volunteers were selected and divided into two groups according to the pre-scan scores for the cognitive questions test (regarded as cognitive performance here): excellent group and poor group. Firstly, the multi-scale entropy model was constructed, the entropy of scanning data was calculated in two groups, and the parameters of the model were optimized by statistics and comparison with the help machine learning method. Secondly, the eigenvectors were constructed by the entropy values of the indicative brain areas with high statistical significance under the optimized parameters of multi-scale model. Finally, the sample data were divided into either training set or testing set, in which 78 people were randomly included in the training set and the rest of 20 people were included in the testing set. The two groups of data were classified and tested by the extreme learning machine. It was found that there was a significant difference between the frontal and temporal regions in the assessment of cognitive scores of the elderly by the multi-scale entropy model based on rfMRI, and the sorting rate for the cognitive scores could reach up to 80%. Conclusion: the optimized multi-scale entropy model can effectively distinguish the cognitive scores of healthy elderly people at the frontal lobe, temporal lobe and other marker brain regions. This study has highlighted the optimization advantage of the multi-scale entropy model with the help of machine learning, and might provide a new detection parameter and a potential method for rfMRI to replace the subjective and tedious traditional cognitive scale form tests.