-
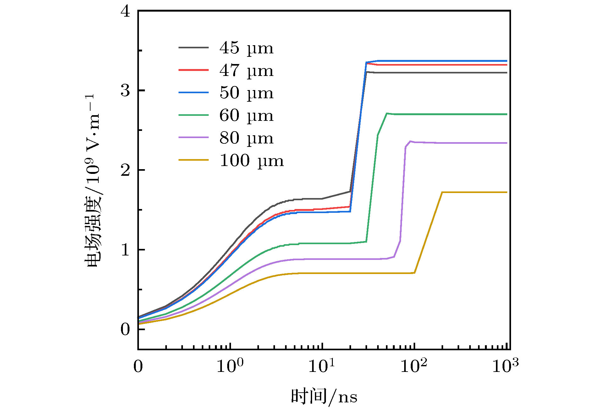
微纳电离式气体传感器基于微尺度放电原理, 具有响应快、精度高、易集成等特点, 有望实现对气体的快速准确检测. 目前缺少对该新型传感器极间放电过程的系统分析. 对此本文采用流体-化学动力学混合方法, 建立了常温常压下大气中N 2-O 2混合气体在微米间隙-纳米尖端场域的二维空间放电模型, 并通过分析空间电子输运机制、放电电流密度、空间电场强度之间的相互耦合关系, 阐明了该场域下空间放电的动态发展过程, 完善了微纳电离式气体传感器内部放电机理, 且分析了不同极间距对空间放电的影响规律. 结果表明: 该场域下空间电场随正负离子的产生与消耗达到动态平衡而保持恒定, 使空间放电得以维持, 放电电流密度趋于稳定; 且随着极间距的减小放电电流密度呈现出先增大后减小的趋势, 此特性为传感器的优化提供了一定的理论指导.Based on the principle of micro-scale discharge, the micro-nano ionization gas sensor has the characteristics of fast response, high precision and easy integration. It is expected to achieve rapid and accurate detection of gas. At present, there is a lack of systematic analysis of the inter-polar discharge process of the new sensor. This paper uses the fluid-chemical dynamics methodology to create a 2D space discharge model of the N 2-O 2mixed gas at the micron gap and the nano-tip field in ambient atmosphere at normal temperature and pressure. Meanwhile, by analyzing the mutual coupling between the space electron transport process, the discharge current density, and the space electric field strength, the paper clarifies the dynamics of space discharge in the field, improves how internal discharges work in such micro-nano structured ionization gas sensors, and analyzes the pattern of influence of different polar distances on space discharges. The results show that the electric field in the space remains constant as the production and consumption of positive and negative ions reaches a dynamic equilibrium in the field. It is reflected in the field strengthening effect of positive ion groups to the cathode plate and of negative ion groups to the anode plate, as well as in the field weakening effect between positive and negative ion groups. The resulting stable and strong electric field of the cathode makes sure that space discharge is maintained, and the discharge current density stabilizes. Initially, as the polar distance decreases gradually, the electric field strength between the poles and plates increases. It plays a leading role in the accumulation of electron energy and in the increase in the number density of electrons, thus leading to the increase of the output current density up to the peak value when the polar distance D= 50 μm. As the polar distance decreases, the field strength between the poles and plates increases. Despite that, when electrons accumulate energy up to such a level that gas molecules can be ionized, the necessary movement distance and the distance required to increase the number density of electrons decreases. As a result, the degree of ionization weakens, and the field strengthening effect of positive ions decreases. In other words, the increment of the field strength caused by positive ions at the tip decreases, and in turn, the discharge current density decreases. This pattern serves as a theoretical support in the optimization of the micro-nano structured ionization gas sensors.
[1] [2] [3] [4] [5] [6] [7] [8] [9] [10] [11] [12] [13] [14] [15] [16] [17] [18] [19] [20] [21] [22] [23] [24] [25] [26] [27] [28] [29] [30] -
类型 序号 反应式 反应速率 参考文献 电子碰撞反应 R1 ${\rm{e}} + {{\rm{N}}_{\rm{2}}} \to {\rm{e}} +{\rm{ e}} +{\rm{ N}}_{\rm{2}}^{{ + }} $ f(ε) [29] R2 ${\rm{e}} + {{\rm{O}}_2} \to {\rm{e}} + {\rm{e}} + {\rm{O}}_2^ + $ f(ε) [29] R3 ${\rm{e}} + {\rm{O}}_4^ + \to 2{{\rm{O}}_2}$ 1.4 × 10–42(300/Te)0.5mol·s–1 [29] R4 ${\rm{e}} + {\rm{O}}_2^ + \to 2{\rm{O}}$ 2.0 × 10–13(300/Te) mol·s–1 [29] R5 ${\rm{e}} + 2{{\rm{O}}_2} \to {{\rm{O}}_2} + {\rm{O}}_2^ - $ 2.0 × 10–41(300/Te) mol·s–1·m–6 [29] 重粒子反应 R6 ${\rm{O}}_{\rm{2}}^{{ + }}{{ + }}{{\rm{O}}_{\rm{2}}}{{ + }}{{\rm{N}}_{\rm{2}}} \to {\rm{O}}_{\rm{4}}^{{ + }}{{ + }}{{\rm{N}}_2}$ 2.4 × 10–42mol·s–1·m–6 [29] R7 ${{\rm{N}}_{\rm{2}}}{\rm{O}}_{\rm{2}}^{{ + }}{{ + }}{{\rm{O}}_{\rm{2}}} \to {\rm{O}}_{\rm{4}}^{{ + }}{{ + }}{{\rm{N}}_2}$ 1.0 × 10–15mol·s–1·m–3 [29] R8 ${{\rm{N}}_{\rm{2}}}{\rm{O}}_{\rm{2}}^{{ + }}{{ + }}{{\rm{N}}_{\rm{2}}} \to {\rm{O}}_2^{{ + }}{{ + 2}}{{\rm{N}}_{\rm{2}}}$ 4.3 × 10–10mol·s–1·m–3 [29] R9 ${\rm{O}}_{\rm{2}}^{{ + }}{{ + 2}}{{\rm{N}}_{\rm{2}}} \to {{\rm{N}}_{\rm{2}}}{\rm{O}}_{\rm{2}}^{{ + }}{{ + }}{{\rm{N}}_{\rm{2}}}$ 9.0 × 10–43mol·s–1·m–6 [29] R10 ${{\rm{O}}_{\rm{2}}} +{\rm{ N}}_{\rm{2}}^{{ + }} \to {{\rm{N}}_{\rm{2}}} +{\rm{ O}}_{\rm{2}}^{{ + }}$ 6.0 × 10–17mol·s–1·m–3 [29] R11 ${\rm{N}}_{\rm{2}}^{{ + }}{{ + }}{{\rm{N}}_{\rm{2}}}{{ + }}{{\rm{O}}_{\rm{2}}} \to {{\rm{O}}_{\rm{2}}} + {\rm{N}}_{\rm{4}}^{{ + }}$ 5.0 × 10–41mol·s–1·m–6 [29] R12 ${{\rm{O}}_{\rm{2}}}+ {\rm{ N}}_{\rm{4}}^{{ + }} \to {\rm{2}}{{\rm{N}}_{\rm{2}}}+ {\rm{ O}}_{\rm{2}}^{{ + }}$ 2.5 × 10–16mol·s–1·m–3 [29] R13 ${\rm{2}}{{\rm{N}}_{\rm{2}}}+ {\rm{ N}}_{\rm{2}}^{{ + }} \to {{\rm{N}}_{\rm{2}}}+ {\rm{ N}}_{\rm{4}}^{{ + }}$ 5.0 × 10–41mol·s–1·m–6 [29] R14 ${\rm{O}}_{\rm{2}}^{{ + }}+ {\rm{ 2}}{{\rm{O}}_{\rm{2}}} \to {\rm{O}}_{\rm{4}}^{{ + }}{{ + }}{{\rm{O}}_{\rm{2}}}$ 2.4 × 10–42mol·s–1·m–6 [29] R15 ${\rm{O}}_{\rm{4}}^{{ + }}+ {\rm{ O}}_{\rm{2}}^ - \to {\rm{3}}{{\rm{O}}_{\rm{2}}}$ 1.0 × 10–13mol·s–1·m–3 [29] R16 ${\rm{O}}_{\rm{4}}^{{ + }}+ {\rm{ O}}_{\rm{2}}^ - {{ + }}{{\rm{N}}_2} \to {\rm{3}}{{\rm{O}}_{\rm{2}}} + {{\rm{N}}_{\rm{2}}}$ 2.0 × 10–17mol·s–1·m–6 [29] R17 ${\rm{O}}_{\rm{4}}^{{ + }}+ {\rm{ O}}_{\rm{2}}^ - {{ + }}{{\rm{O}}_{\rm{2}}} \to {\rm{3}}{{\rm{O}}_{\rm{2}}}{{ + }}{{\rm{O}}_{\rm{2}}}$ 2.0 × 10–17mol·s–1·m–6 [29] R18 ${\rm{O}}_{\rm{2}}^{{ + }}+ {\rm{ O}}_{\rm{2}}^ - {{ + }}{{\rm{O}}_{\rm{2}}} \to {\rm{2}}{{\rm{O}}_{\rm{2}}}{{ + }}{{\rm{O}}_{\rm{2}}}$2 2.0 × 10–17mol·s–1·m–6 [29] R19 ${\rm{O}}_{\rm{2}}^{{ + }}+ {\rm{ O}}_{\rm{2}}^ - {{ + }}{{\rm{N}}_{\rm{2}}} \to {\rm{2}}{{\rm{O}}_{\rm{2}}}{{ + }}{{\rm{N}}_{\rm{2}}}$ 2.0 × 10–17mol·s–1·m–6 [29] 序号 反应式 针电极(阴极) 板电极(阳极) γ εi/eV γ εi/eV R20 ${\rm{e}} + {\rm{N}}_{\rm{2}}^{{ + }} \to {{\rm{N}}_{\rm{2}}}$ 0.05 4 0 0 R21 ${\rm{e }}+{{\rm{N}}_{\rm{2}}}{\rm{O}}_{\rm{2}}^{{ + }} \to {{\rm{N}}_{\rm{2}}}{{ + }}{{\rm{O}}_{\rm{2}}}$ 0.05 4 0 0 R22 ${\rm{e}} + {\rm{N}}_{\rm{4}}^{{ + }} \to {\rm{2}}{{\rm{N}}_{\rm{2}}}$ 0.05 4 0 0 R23 ${\rm{e}} + {\rm{O}}_{\rm{2}}^{{ + }} \to {{\rm{O}}_{\rm{2}}}$ 0.05 4 0 0 R24 ${\rm{e}} +{\rm{ O}}_{\rm{4}}^{{ + }} \to 2{{\rm{O}}_{\rm{2}}}$ 0.05 4 0 0 R25 ${\rm{e}} +{\rm{ O}}_{\rm{2}}^{{ - }} \to {{\rm{O}}_{\rm{2}}}$ 0 0 0 0 -
[1] [2] [3] [4] [5] [6] [7] [8] [9] [10] [11] [12] [13] [14] [15] [16] [17] [18] [19] [20] [21] [22] [23] [24] [25] [26] [27] [28] [29] [30]
计量
- 文章访问数:6627
- PDF下载量:76
- 被引次数:0












下载:








