The state-to-state quantum dynamics studies of the abstraction channel D + DBr → Br + D
2and exchange channel
$\rm D' + DBr \to D + D'Br$
of the D +DBr reaction are carried out by using the time-dependent wave packet method with second-order split operator in a collision energy range from 0 to 2.0 eV. The potential energy surface reported by Li et al. (Li W T, He D, Sun Z G 2019
J. Chem. Phys.
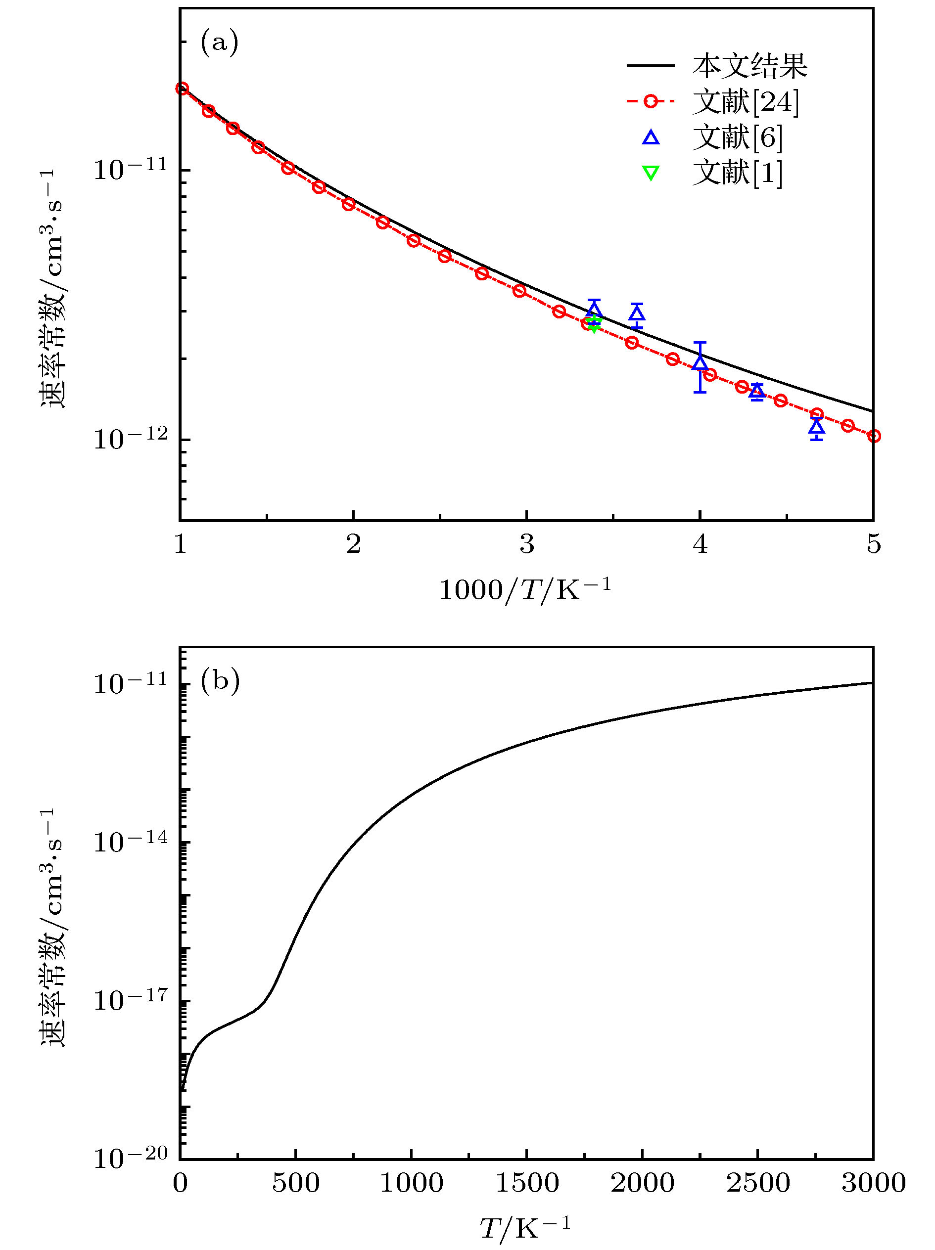
151185102) is adopted in this work. The dynamics properties such as reaction probability, integral cross section (ICS), differential cross section (DCS), the distribution of product ro-vibrational states, specific-state rate constant, etc. are reported and compared with available theoretical and experimental values. The ICSs are compared with the values reported by Zhang et al. and good agreement is achieved between each other, except a little difference at high collision energy. The specific-state rate constants of the title reaction are studied in a temperature range from 200 to 1000 K and present values are in good agreement with experimental data and the Zhang et al.’s results. For abstraction reaction, the backward DCSs reflect the head on “rebound” mechanism dominates in the low collision energy region and abstract mechanism plays a dominant role for the abstraction reaction at high collision energy. In addition, sideward DCSs are observed which stem from the crossing of the two electronic states on the potential energy surface and these values are not reliable. For exchange reaction, the head on “rebound” mechanism dominates the reaction in the collision energy range studied. However, the forward and sideward DCSs are more and more apparent as the collision energy increases.