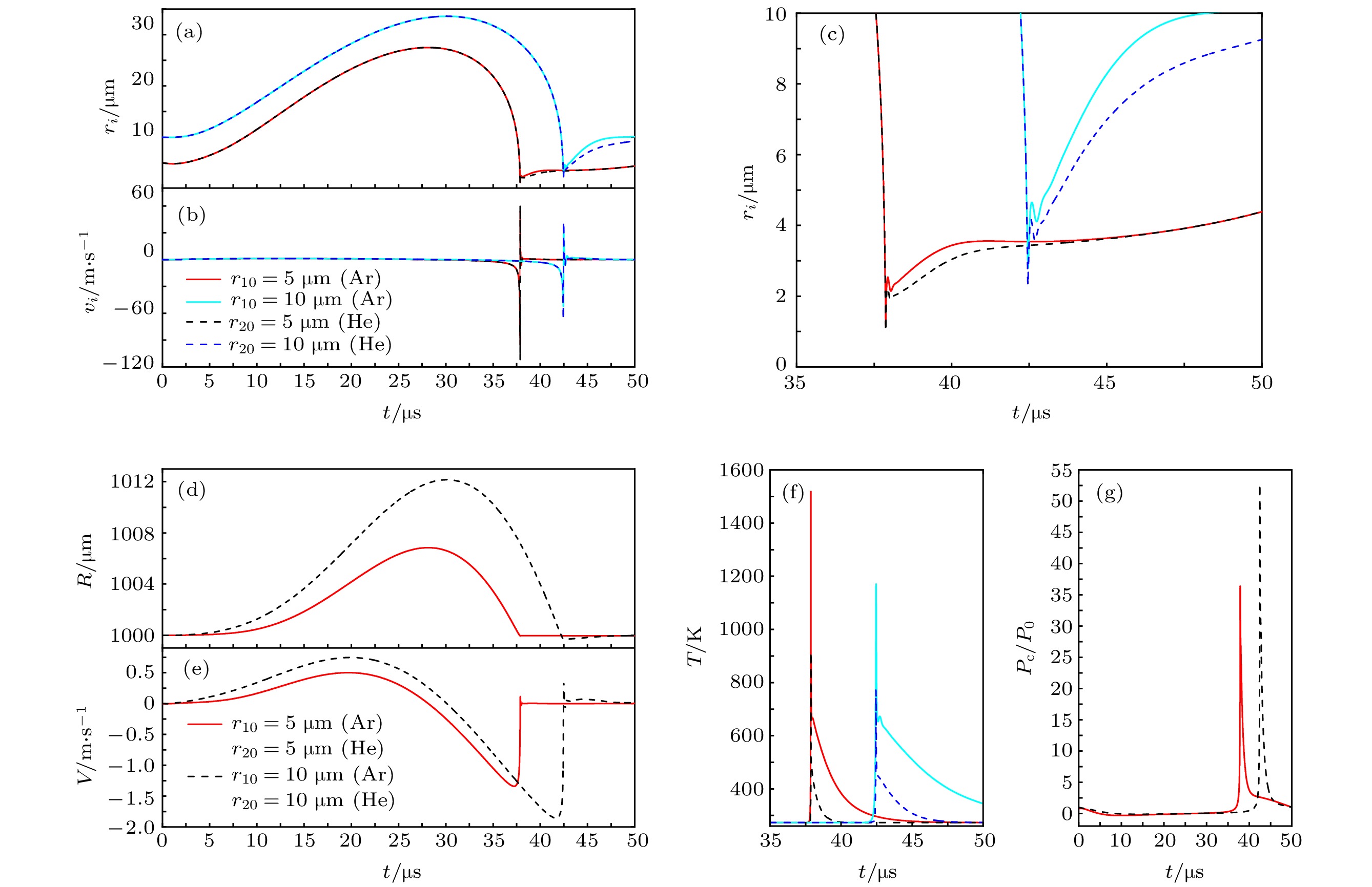
In this paper, we observe and record the phenomenon of multi-bubble sonoluminescence in phosphoric acid solution which helium is injected into. It is found that a large number of cavitation bubbles are produced in the solution, which can form bubble groups with different shapes and structures, among them the spherical bubble group is a typical one. By the Rayleigh-Plesset equation of bubble group and any bubble in the group with the combination of van der Waals process equation, we study the variations of the bubble radius, temperature of the bubble, pressure pulse in the groups which are composed, respectively, of the bubbles with the same size and the same gas, the bubbles with the same size and different gases, the bubbles with different sizes and the same gas and the bubbles with different sizes and different gases. The results show that for the bubble group composed of the bubbles with the same size and the same gas and the bubble group composed of the bubbles with the same size and different gases, the gas contained in the bubble has a significant effect on the temperature inside the bubble, but has little effect on the bubble radius and the pressure pulse peak within the cluster. Bubble collapse depth of gas with low molecular weight is deeper than that of gas with high molecular weight, but the radius change of rebound stage is smaller than that of the latter. For the bubble group composed of the bubbles with different sizes and the same gas and the bubble group composed of the bubbles with different sizes and different gases, when the total number of bubbles in a bubble group is constant, for the case where there is only one large bubble in the group, the temperature in the large bubble is the highest, which can be higher than the temperature in a single bubble with the same size and the same gas; with the increase of the number of large bubbles in the group, the temperatures in the large and small bubbles both decrease rapidly: the temperature in the large bubbles approaches to the temperature in the bubbles of the bubble group composed of large bubbles with the same gas and the same size, and the temperature in the small bubble gradually approaches to the temperature in small bubble with the same gas under the radiation of many large bubbles. With the increase of the number of large bubbles, the peak value of the pressure pulse in the bubble group first decreases sharply to the inflection point, and then increases steadily to the peak value of the pressure pulse in the bubble group composed of large bubbles with the same gas and the same size. The proportion of large bubbles number in the bubble group has an important influence on the cavitation characteristics of the bubble group, only when the proportion of large bubbles reaches a certain value, can the bubbles of different sizes in the bubble group collapse at the same time, and this conclusion improve and perfect the previous conclusion. The results of this paper will provide some theoretical guidance and help to further explore the cavitation effect and luminescent mechanism of the bubble group.