-
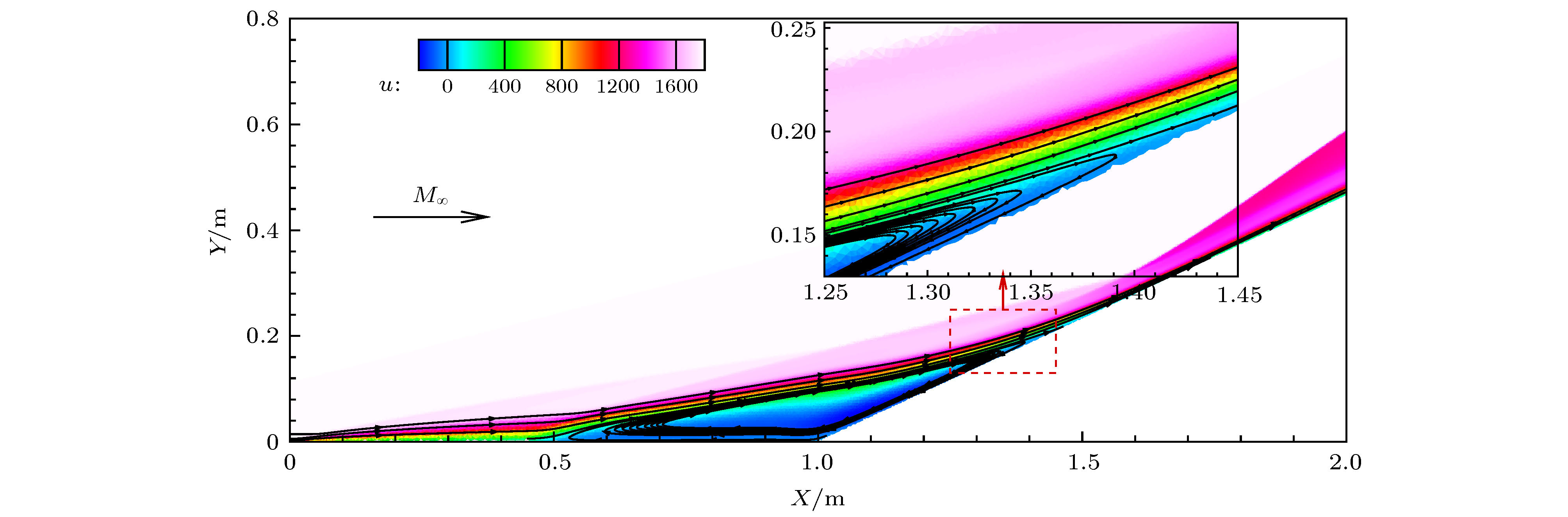
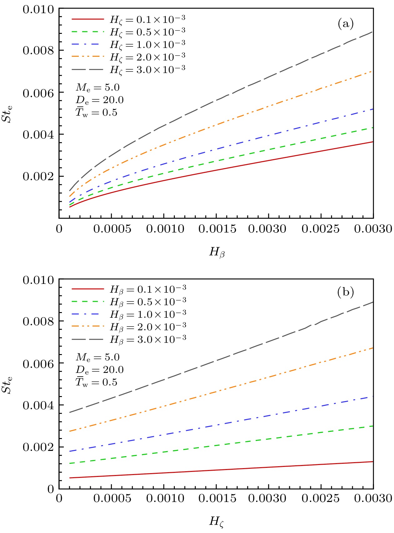
高速流体以一定角度冲击壁面可以简化为斜驻点流动, 包括正驻点流动分量和剪切流动分量. 以往研究集中在不可压缩的斜驻点流动, 本文针对高速可压缩的斜驻点流动模型, 给出了新的自相似求解方案. 通过与数值结果对比验证, 发现该模型能很好地模拟高超声速再附产生的均匀剪切层撞击壁面流动. 通过对比流动中能量输运项和做功项的贡献, 发现斜驻点流动的剪切分量带来较强的压缩效应和耗散效应, 造成流动具有显著的流向对流传热, 表现为再附后近壁流体温度迅速升高, 最终产生壁面上的高热流值. 参数分析表明壁面热流系数与无量纲壁面温度梯度和边界层厚度相关, 前者主要受斜驻点剪切分量参数控制, 后者与驻点分量参数呈负相关.Hypersonic reattachment flow usually causes extremely high wall heat flux, which is of great concern in engineering. The flow can be modeled as a high-speed shear layer impinging on a wall at a certain angle, which forms an oblique stagnation-point flow in the vicinity of the stagnation point, including stagnation-component and shear-component. Previous work focused on incompressible oblique stagnation-point flow, while in the present study a semi-analytical-semi-numeric solution is given via the self-similar method for compressible oblique stagnation-point flow. Through the comparison and validation with the numerical results, it is found that the flow model can well simulate the heat transfer near the wall in the flow of uniform shear layer impinging on the wall caused by hypersonic reattachment. With the analysis of the contribution of the energy transport and the heat production in the flow model, it is found that the compression effect and dissipation effect are mainly caused by the shear-component, leading to a significant convective heat transfer in the flow direction, which is different from the case of the classic boundary layer. Then the temperature of the flow near the wall rises rapidly after reattachment, resulting in a high heat flux to the wall. Parameter analysis indicates that the wall heat-transfer coefficient is related to the dimensionless wall temperature gradient and the thickness of the boundary layer. The former is mainly controlled by the shear-component parameter
$H_{\zeta}$ , and the latter is negatively correlated with the stagnation-component parameter$H_{\beta}$ . Further analysis shows that the wall heat-transfer coefficient has a linear relationship with$H_{\zeta}$ and is proportional to$\sqrt{H_{\beta}}$ when$H_{\beta}$ is small. This work provides a theoretical basis and solution for studying on the hypersonic reattachment flow, and it is also an extension of the asymmetric stagnation boundary layer theory.-
Keywords:
- oblique stagnation-point/
- reattachment/
- shear layer/
- heat transfer
[1] [2] [3] [4] [5] [6] [7] [8] [9] [10] [11] [12] [13] [14] [15] [16] [17] [18] [19] [20] [21] [22] [23] [24] -
Case No. $ M_\infty $ $ {Re}_L / 10^4 $ $ \theta /(^{\circ}) $ $ T_\infty $/K $ T_{\rm{w}} $/K L/m A1 9 1 25 60 300 1 B1 9 2 25 60 300 1 B2 11 2 25 60 300 1 C1 9 5 25 60 300 1 C2 11 5 25 60 300 1 C3 13 5 25 60 300 1 C4 15 5 25 60 300 1 D1 13 10 25 60 300 1 D2 15 10 25 60 300 1 E1 11 5 21 60 297 1 E2 11 5 24 60 297 1 E3 11 5 27 60 297 1 E4 11 5 30 60 297 1 F1 15 2 30 60 300 1 G1 15 5 24 60 300 1 G2 15 5 27 60 300 1 H1 11 2 25 100 300 1 H2 11 2 25 150 300 1 H3 11 2 25 200 300 1 H4 11 2 25 250 300 1 I1 11 5 25 60 100 1 I2 11 5 25 60 200 1 I3 11 5 25 60 250 1 I4 11 5 25 60 350 1 I5 11 5 25 60 450 1 Case No. $ M_{\rm{e}} $ $ H_{\beta} \times 10^4 $ $ H_{\zeta} \times 10^3 $ $ D_{\rm{e}} $ $ {\bar T}_{\rm{w}} $ $ \theta $ A1 4.82 1.79 12.25 15.2 1.64 13.6 B1 4.60 1.60 10.27 16.4 1.51 14.0 B2 5.57 1.16 6.45 19.9 1.43 15.0 C1 4.69 0.97 5.21 23.1 1.57 15.3 C2 5.44 0.78 3.89 25.6 1.37 15.8 C3 6.15 0.66 3.22 27.5 1.23 16.0 C4 6.55 0.68 3.10 27.7 1.04 16.5 D1 6.00 0.51 2.32 32.4 1.18 16.6 D2 6.28 0.51 2.17 32.9 0.96 17.0 E1 5.90 0.57 4.93 23.0 1.56 12.1 E2 5.60 0.71 4.07 25.1 1.42 14.8 E3 5.18 0.93 3.86 25.4 1.25 17.2 E4 4.71 1.28 3.99 24.5 1.07 19.7 F1 5.71 1.75 5.17 21.0 0.82 20.2 G1 7.05 0.50 2.61 30.4 1.19 15.5 G2 5.99 0.90 3.40 26.1 0.88 18.0 H1 5.48 1.17 6.40 18.9 0.83 15.1 H2 5.38 1.22 6.52 18.2 0.54 15.3 H3 5.46 1.12 5.90 18.9 0.41 15.4 H4 5.08 1.36 7.29 16.8 0.36 15.3 I1 5.35 0.90 3.88 23.4 0.45 16.9 I2 5.50 0.78 3.53 25.7 0.93 16.6 I3 5.50 0.75 3.57 26.1 1.17 16.2 I4 5.43 0.80 4.10 25.5 1.59 15.6 I5 5.45 0.73 4.06 27.1 2.07 15.0 -
[1] [2] [3] [4] [5] [6] [7] [8] [9] [10] [11] [12] [13] [14] [15] [16] [17] [18] [19] [20] [21] [22] [23] [24]
计量
- 文章访问数:5776
- PDF下载量:111
- 被引次数:0












下载:







