The high/low conductance switching in stretching process of 4,4′-bipyridine molecular junction is a distinctive phenomenon in molecular electronics, which is still a mystery and has been unsolved for more than one decade. Based on the techniques and processes of experimental measurement, the
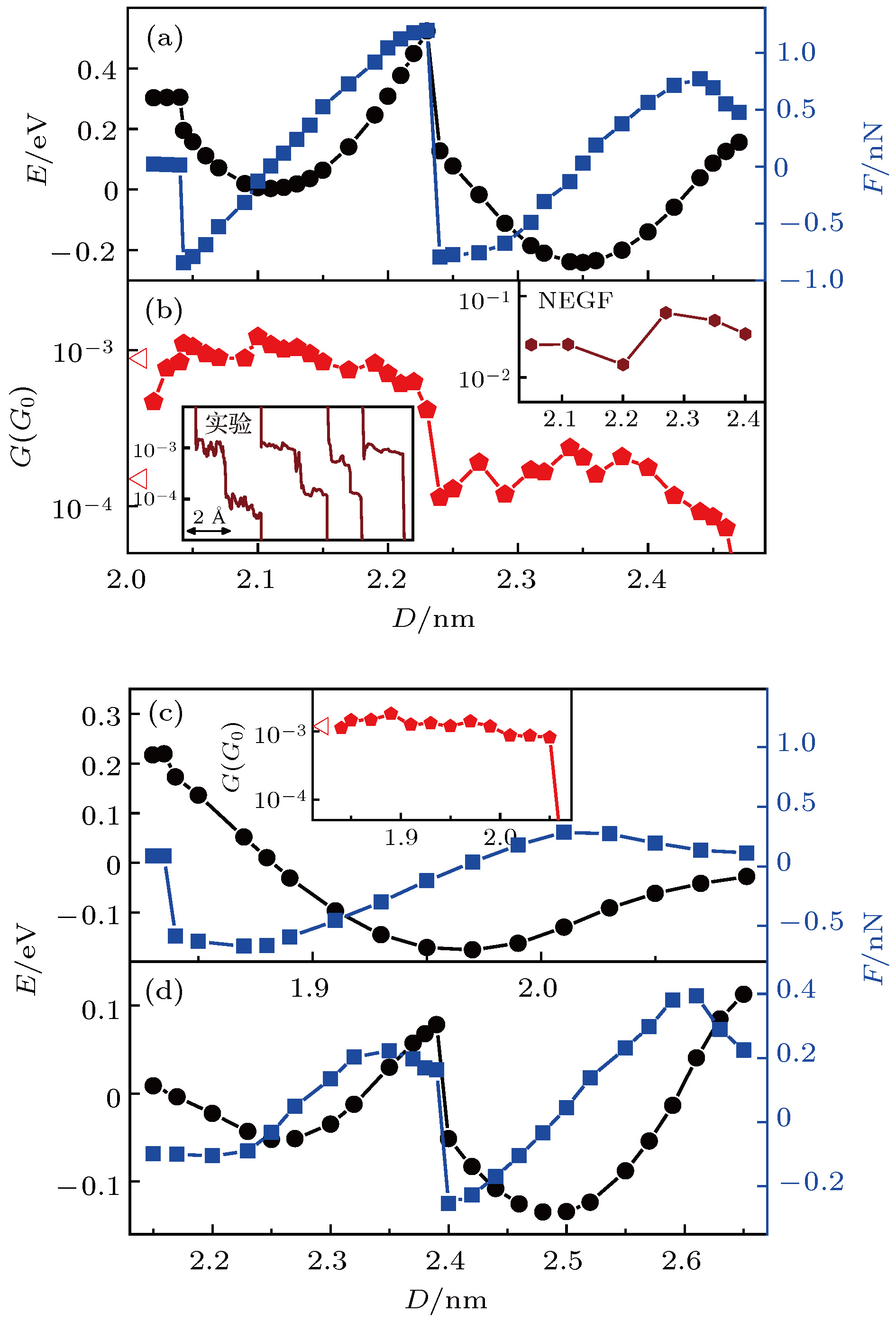
ab initio-based adiabatic molecule-junction-stretch simulation (AMJSS) method is developed, by which the stretching processes of 4,4′-bipyridine molecular junctions are calculated. The conductance traces of the molecular systems in the stretching processes are studied and the mystery of high/low conductance switching in the stretching processes of 4,4′-bipyridine molecular junction is decoded by using the one-dimensional transmission combined with the three-dimensional correction approximation (OTCTCA) method. The numerical results show that, in the stretching process of 4,4′-bipyridine molecular junction, the upper terminal nitrogen atom in the pyridine ring is easy to vertically adsorb on the second gold layer of the probe electrode. At the same time, the molecule produces unique lateral-pushing force to push the tip atoms of the probe electrode aside. Thus, the high conductance plateau arises. With the molecular junction further stretched, the upper terminal nitrogen atom of the molecule shifts from the second gold layer to the tip gold atom of the probe electrode with the tip gold atom moving back to the original lattice position. Consequently, the conductance value decreases by about 5–8 times, and the low conductance plateau is presented. According to our calculations, the phenomenon of high/low conductance switching in the stretching process of 4,4′-bipyridine molecular junction also indicates that, single surface gold atom often lies on the surface of substrate electrode. Moreover, the phenomenon of high/low conductance switching can only be found when the molecule is adsorbed on the surface gold atom of the substrate electrode. Thus, using conductance traces measured in the stretching processes of molecular junction and with the help of theoretical calculations, the interface structures of molecular junctions can be recognized efficiently. Our study not only decodes the physical process and intrinsic mechanism of the high/low conductance switching phenomenon of 4,4′-bipyridine molecular junction, but also provides significant technique information for using pyridine-based molecule to construct functional molecular devices, such as molecular switch, molecule memory, molecular sensor, etc.