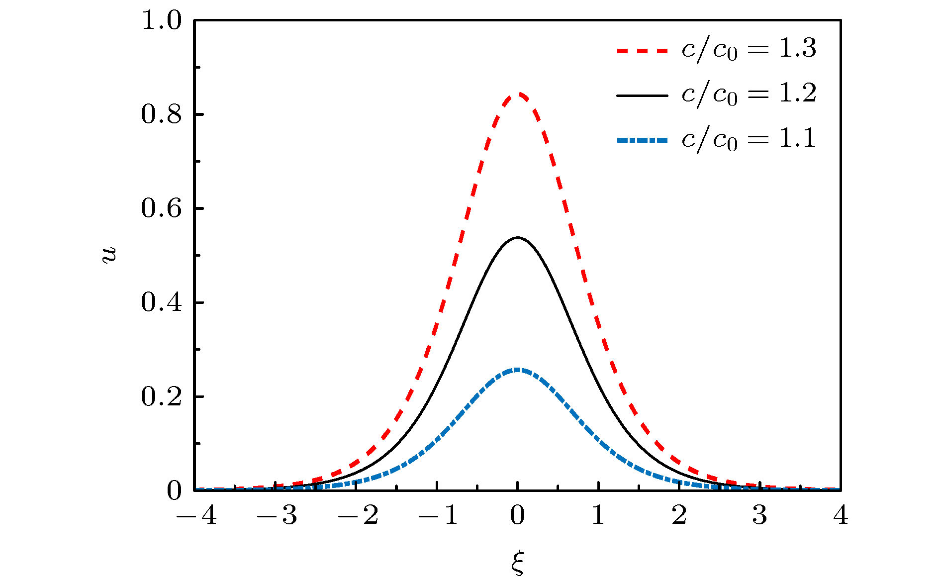
Piezoelectric elements have been commonly used because of their wide applications in sensors, transducers, and some micro intelligent structures. However, in the fields of aviation, aerospace, and automation, some relevant equipment works in a harsh environment and is susceptible to the temperature change, thereby leading its performances to be greatly affected. Therefore, the problem of nonlinear wave relating to piezoelectric circular rods in different temperature fields is studied by modeling and numerical analysis. Firstly, based on the theory of finite deformation, we take infinite piezoelectric circular rod as a research object and consider the effects of transverse inertia and equivalent Poisson's ratio under the thermoelectric coupling action. Using the Hamilton principle and introducing the Euler equation, the longitudinal wave equation of piezoelectric circular rod is obtained. Secondly, Jacobi elliptic cosine function and Jacobi elliptic sine function expansion method are used to solve the wave equation of the piezoelectric circular rod, and the solitary wave solution and the exact periodic solution of the wave equation are obtained. It is found that the periodic solution can be reduced into a solitary wave solution under certain conditions, and it is proved theoretically that there may be solitary wave stably propagating in a piezoelectric circular rod. Finally, the dispersion curves of different wave velocity ratios and the curves about influences of temperature field on the waveform, amplitude and wave number of the piezoelectric rod are obtained by Matlab. The numerical results show that the wave velocity decreases with the increase of temperature when the wave velocity ratio is constant. Given the temperature is constant, it can be found that with the increase of the ratio, the amplitude of solitary wave gradually increases while the wavelength gradually decreases. In addition, the images obtained show that although temperature change can cause the characteristics of solitary waves to change, the solitary waves are always symmetrical bell shaped waves in the propagation process, reflecting the stability characteristics under the combined action of nonlinear and dispersion effects. Therefore, the variation of temperature field can influence and control some propagation characteristics of solitary waves. Moreover, the wave theory has been widely used in the nondestructive testing of structures and the improving of information transmission quality due to its special stability.