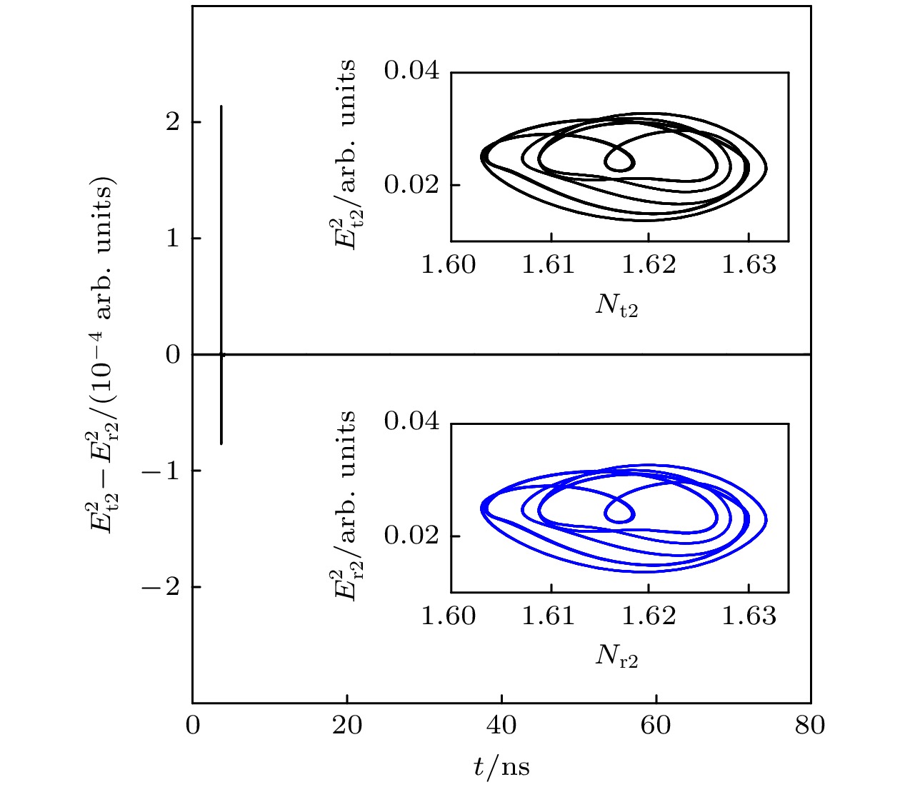
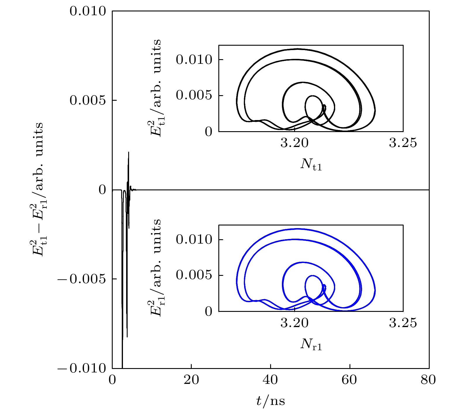
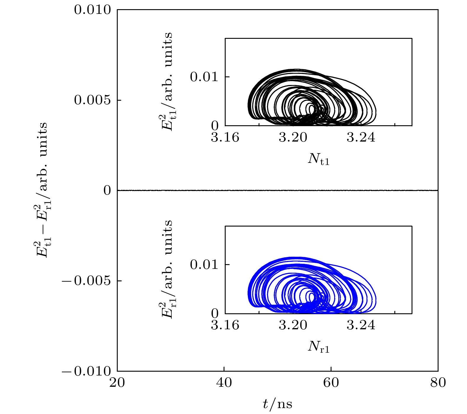
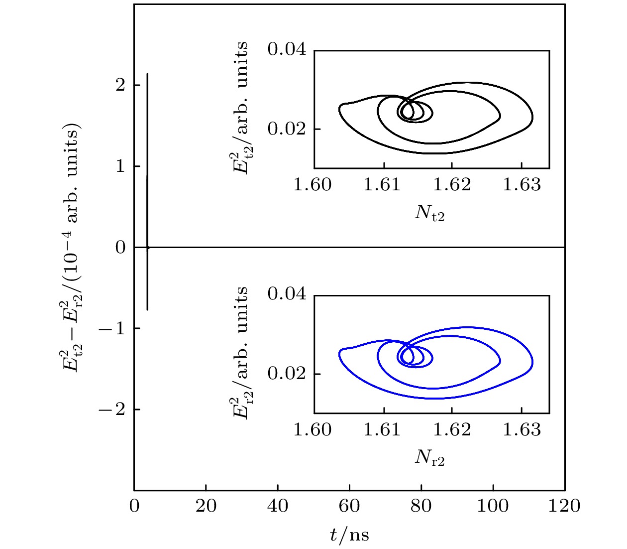
In this work, we study the chaos-control and parallel queue synchronization of a laser local area network (LAN). We present and study specifically a “single-queue-double-parameter” method of the parallel series queue dynamic behavior synchronization of the controlled laser LAN under two optoelectronic delay feedback controllers, and establish the mathematical and physical model of the controlled laser LAN. The LAN node is composed of two space coupled lasers with different parameters and other two single lasers, where two lasers series produce two different parallel queues, which results in two different chains of LAN nodes. Optical LAN links are composed of two optical parallel-crossing paths and two photoelectric delay feedback controllers setting in two lasers of LAN, which creates a method of double-parameter control of LAN. Through the analysis of the stability theory of differential equation and the dynamic characteristic equation of coupled lasers of LAN, our mathematical theory demonstrates that the chaos-control of laser LAN can be achieved by two photoelectric delay feedback controllers adjusting photoelectric feedback levels and feedback delay time of one of the two coupled laser and another single laser, respectively. Making analysis of the stability theory of differential equation and the dynamic characteristic equation of LAN nodes in two queue chains, we demonstrate theoretically how to obtain synchronization in network nodes of the controlled LAN on two queue chains by controlling optical feedback levels, and by the photoelectric delay feedback controllers adjusting photoelectric feedback levels and feedback delay time, respectively. Using our numerical calculation of parallel queue synchronization, the node laser’s waveform and its phase space trajectory, we find that very lasers of network nodes of the controlled LAN can lead to the parallel queue synchronization of a double-period, a three-period, a four-period and other quasi-periods while these quasi-periodic synchronizations and dynamic synchronizations are controlled in two queue chains of LAN nodes when we let the photoelectric feedback level and the delay time shift on some parameters. We find also two controlled quasi-periodic parallel queue synchronization regions. This paper also presents an application case of laser LAN multi-point chaotic carrier synchronous emission and ultra-wideband communication. This is a new type of controlled laser LAN system, which has the core elements of optical LAN and the characteristics of multi-variable, multi-dimension and parallel queue chaos-control techniques of complex dynamic networks. It also has the function of optical network ultra-wideband communication. The results have important reference value for studying the LAN, optical network and its synchronization and control, laser technology and chaos.