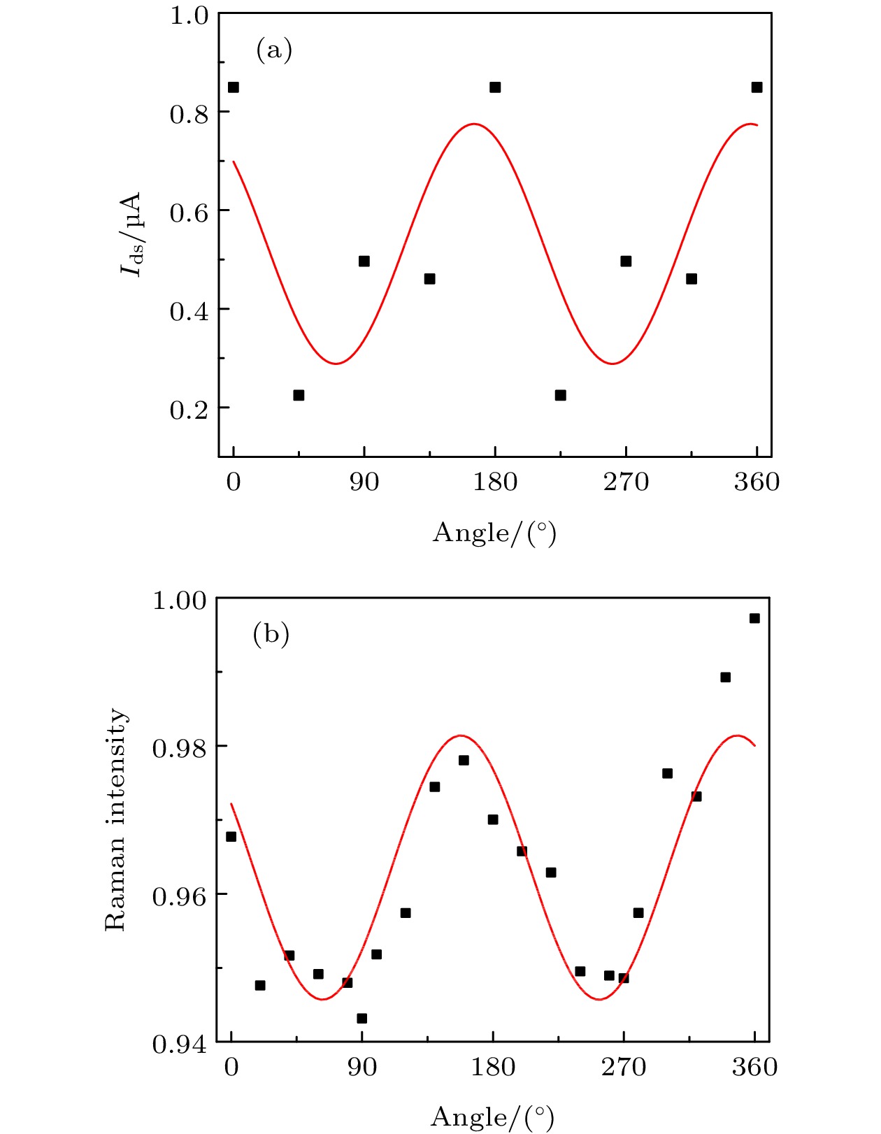
As a new family member of two-dimensional materials, black phosphorus has attracted much attention due to its infrared band gap and strongly anisotropic properties, bringing new concepts and applications in different fields. In characterizing black phosphorus, optical method and electrical method are typically used to obtain structural information and fundamental properties in terms of behaviors of electrons. So far, more studies are still needed to understand in depth the physical principle and facilitate applications. In this paper, multilayered black phosphorus flakes are synthesized via mechanical exfoliation from the bulk crystal, and field-effect transistors based on few-layer black phosphorus are fabricated by micro-nano fabrication technology, which owns 0°–360° four pairs of symmetrical electrodes. We experimentally obtain the characteristics of Raman modes
${\rm{A}}_{\rm{g}}^{\rm{1}}$
,
$ {\rm B_{2g}} $
, and
${\rm{A}}_{\rm{g}}^2$
in parallel (
XX) and vertical (
XY) polarization configuration. Furthermore, the angle-dependent source-drain current angle is measured through a BP field-effect transistor. The Raman spectrum results demonstrate that three characteristic peaks are located at 361, 439 and 467 cm
–1in a range of 200–500 cm
–1, corresponding to the vibration modes of
${\rm{A}}_{\rm{g}}^{\rm{1}}$
,
$ {\rm B_{2g}}, $
and
${\rm{A}}_{\rm{g}}^2$
, respectively. The fitting experimental data of polarization-dependent Raman spectra also show that the intensity for each of the three characteristic peaks has a 180° periodic variation in a parallel polarization configuration and also in a vertical polarization configuration. The maximum Raman intensity of A
gis along the AC direction, while that of B
2gis along the ZZ direction. On the other hand, the electric transport curves illustrate that the largest source leakage current can be obtained near 0° (180°) armchair direction. Such results indicate the anisotropy of black phosphorus. Furthermore, transfer curves with different electrode angles show that the weak bipolarity of black phosphorus at 45° (225°), 90° (270°), and p-type performance at 0° (180°), 135° (315°) can be offered, respectively. This work is conducive to studying the properties and practical applications of devices based on black phosphorus.