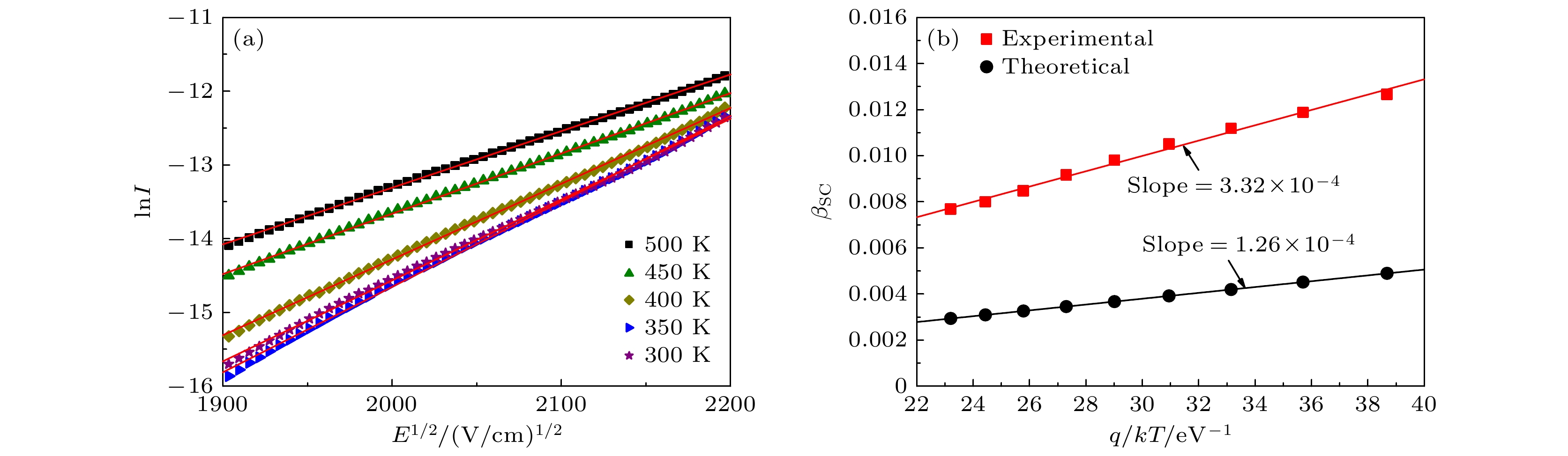
\begin{document}$\ln(I/E)\text{-}E^{1/2}$\end{document}线性依赖关系, 电流斜率和激活能与Frenkel-Poole模型的理论值接近, 表明电流应该为FP机制占主导; 3)在高偏压区, 数据满足\begin{document}$ \ln(I/E^2)\text{-}E^{-1} $\end{document}线性依赖关系, 电流斜率不随温度改变, 表明Fowler-Nordheim隧穿机制占主导; 4)反向电流势垒高度约为0.60 eV, 远低于热发射势垒高度2.91 eV, 表明可导位错应是反向漏电流的主要输运通道, 局域势垒由于潜能级施主态电离而被极大降低."> - 必威体育下载

搜索

x

留言板

姓名
邮箱
手机号码
标题
留言内容
验证码

downloadPDF
引用本文:
Citation:

    闫大为, 吴静, 闫晓红, 李伟然, 俞道欣, 曹艳荣, 顾晓峰

    Voltage and temperature dependence of reverse leakage current of lattice-matched InAlN/GaN heterostructure Schottky contact

    Yan Da-Wei, Wu Jing, Yan Xiao-Hong, Li Wei-Ran, Yu Dao-Xin, Cao Yan-Rong, Gu Xiao-Feng
    PDF
    HTML
    导出引用
    计量
    • 文章访问数:4749
    • PDF下载量:80
    • 被引次数:0
    出版历程
    • 收稿日期:2020-08-18
    • 修回日期:2020-11-17
    • 上网日期:2021-03-19
    • 刊出日期:2021-04-05

      返回文章
      返回
        Baidu
        map