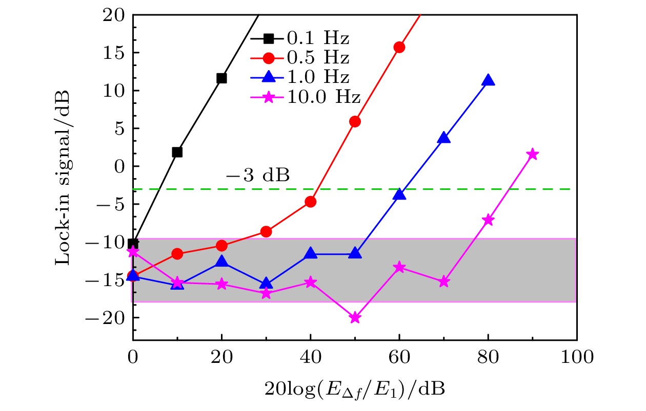
We present a high-sensitivity weak microwave measurement and communication technology by employing the Rydberg beat technique. The Rydberg cascade three-level system is composed of a cesium ground state
$6{\rm{S}}_{1/2}$
, an excited state
$6{\rm{P}}_{3/2}$
, and a Rydberg state
$n{\rm{D}}_{5/2}$
in a room-temperature cesium cell. A two-photon resonant Rydberg electromagnetic induced transparency (EIT) is used to optically detect the Rydberg level, in which a weak probe laser is locked at the resonant transition of
$|6{\rm{S}}_{1/2}\rangle \rightarrow |6{\rm{P}}_{3/2}\rangle$
, and a strong coupling laser drives the transition of
$|6{\rm{P}}_{3/2}\rangle \rightarrow |n{\rm{D}}_{5/2}\rangle$
. Both lasers are locked with a high-precision Fabry-Perot cavity. Two
E-fields are incident into the vapor cell to interact with Rydberg atoms via a microwave horn, one is a strong microwave field with frequency 2.19 GHz, acting as a local field (
$E_{{\rm{L}}}$
) and resonantly coupling with two Rydberg energy levels,
$|68{\rm{D}}_{5/2}\rangle$
and
$|69{\rm{P}}_{3/2}\rangle$
, and the other is a weak signal field (
$E_{{\rm{S}}}$
) with frequency difference
${\text{δ}} f$
, interacting with the same Rydberg levels. The wave-absorbing material is placed around the vapor cell to reduce the reflection of microwave field. In the presence of the local field, the Rydberg atoms are employed as a microwave mixer for reading out the difference frequency
${\text{δ}}f$
oscillation signal, which is proportional to the amplitude of weak signal field. The minimum detectable field of
$E_{0} = 1.7$
μV/cm is obtained when the lock-in output reaches the base noise. We also measure the frequency resolution of the Rydberg mixer by changing the
${\text{δ}} f$
with fixed
$ f_{\rm ref} $
, thus achieving a frequency resolution better than 1 Hz. For neighboring fields with 1 Hz away from the signal field, an isolation of 60 dB is achieved. Furthermore, we use the Rydberg atom as an antenna to receive the baseband signals encoded into the weak microwave field, demonstrating that the receiver has a transmission bandwidth of about 200 MHz. The demonstration of sensitivity of Rydberg atoms to microwave field is particularly useful in many areas, such as quantum precise measurement and quantum communications. In general, this technique can be extended to the detection of electromagnetic radiation from the radio-frequency regime to the tera-hertz range and is feasible for fabricating a miniaturized devices, thereby providing us with a way to receive the information encoded in tera-hertz carriers in future work.