-
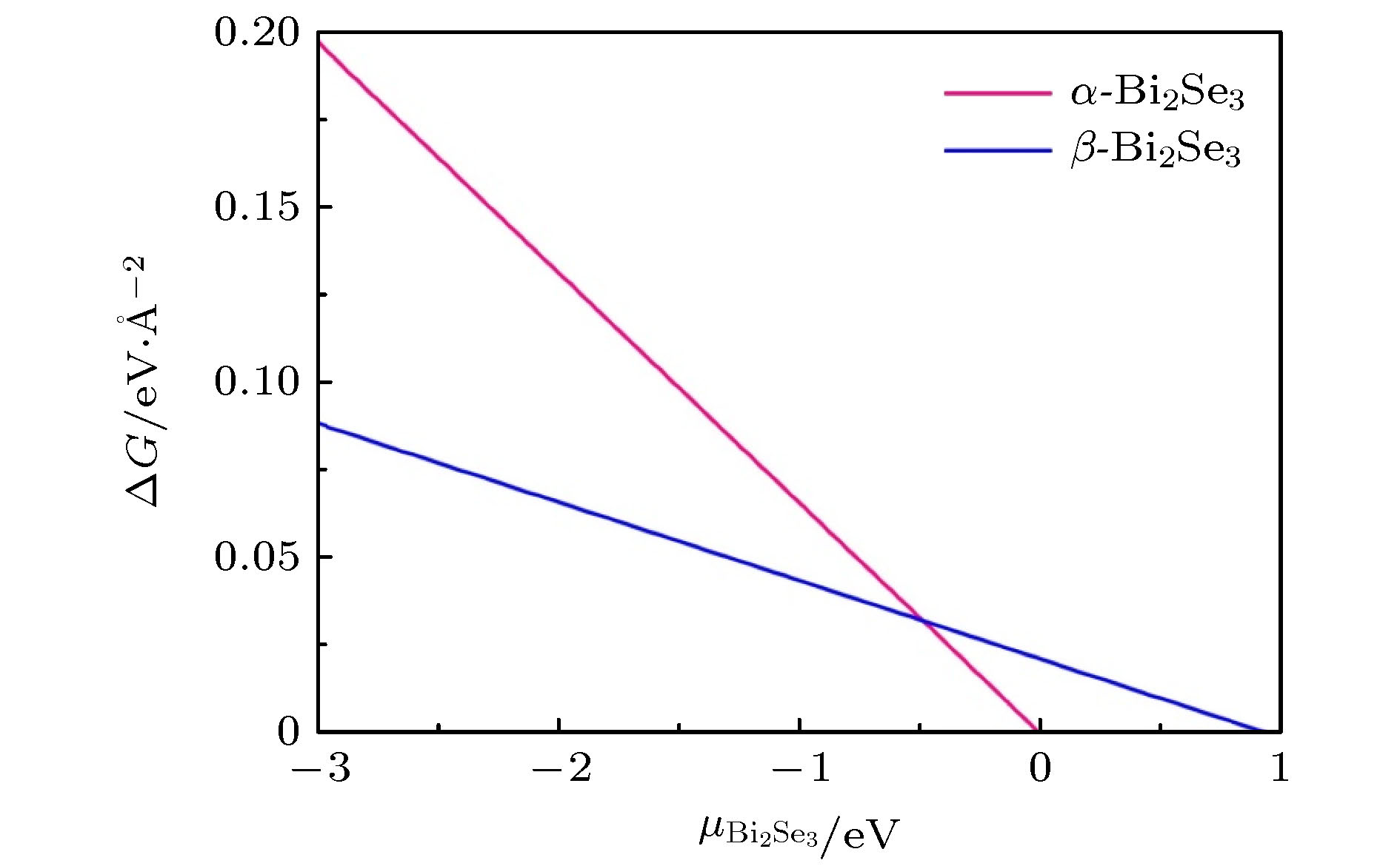
近年来, 在石墨烯研究热潮的推动下, 众多种类丰富、性能各异的二维化合物材料相继被发现, 其中一些二维材料具有多种同素异构体, 进而呈现出更丰富的性质. 层状Bi 2Se 3由于其独特的物理性质, 受到人们广泛的关注, 而它的同素异构体尚未有人研究. 本文采用基于密度泛函理论的结构搜索方法, 预测了一个稳定的 β-Bi 2Se 3新相, 它具有良好的动力学和热力学稳定性, 并在低Bi 2Se 3源化学势条件下容易形成. 单层 β-Bi 2Se 3是一个直接带隙为2.44 eV的二维半导体, 其电子载流子有效质量低至0.52 m 0, 在可见光范围内具有高达10 5cm –1的光吸收系数, 并且能带边缘位置适中, 可用于光催化水分解制氢气. 此外, 由于 β-Bi 2Se 3在垂直层面方向的镜面对称性破缺, 能够产生面外极化强度, 具有0.58 pm/V的面外压电系数. 鉴于其新颖的电子特性, 二维 β-Bi 2Se 3在未来的电子器件中可能发挥重要的作用.Recently, the boom of graphene has aroused great interest in searching for other two-dimensional (2D) compound materials, which possess many intriguing physical and chemical properties. Interestingly, 2D allotropes of differing atomic structures show even more diverse properties. The Bi 2Se 3has attracted much attention due to its unique physical properties, while its allotrope has not been investigated. Based on first-principle calculations, here in this work we predict a new phase of Bi 2Se 3monolayer with outstanding dynamic and thermal stabilities, named as β-Bi 2Se 3. Notably, the β-Bi 2Se 3monolayer is a semiconductor with a modest direct band gap of 2.40 eV and small effective mass down to 0.52 m 0, large absorption coefficient of 10 5cm –1in the visible-light spectrum, suitable band edge positions for photocatalysis of water splitting. Moreover, the breaking of mirror symmetry in β-Bi 2Se 3along the out-of-plane direction induces vertical dipolar polarization, yielding a remarkable out-of-plane piezoelectric coefficient of 0.58 pm/V. These exceptional physical properties render the layered Bi 2Se 3a promising candidate for future high-speed electronics and optoelectronics.
-
Keywords:
- semiconductor/
- Bi2Se3/
- allotrope/
- electronic structures/
- layered material
[1] [2] [3] [4] [5] [6] [7] [8] [9] [10] [11] [12] [13] [14] [15] [16] [17] [18] [19] [20] [21] [22] [23] [24] [25] [26] [27] [28] [29] [30] [31] [32] [33] [34] [35] [36] [37] [38] [39] [40] [41] [42] [43] [44] [45] [46] [47] -
β-Bi2Se3 VBM/eV CBM/eV mxh mxe myh mye Monolayer –5.82 –3.43 7.88 0.70 5.69 0.66 Bilayer –5.00 –4.24 2.55 0.52 2.36 0.52 Bulk — — 0.65 0.63 0.65 0.67 -
[1] [2] [3] [4] [5] [6] [7] [8] [9] [10] [11] [12] [13] [14] [15] [16] [17] [18] [19] [20] [21] [22] [23] [24] [25] [26] [27] [28] [29] [30] [31] [32] [33] [34] [35] [36] [37] [38] [39] [40] [41] [42] [43] [44] [45] [46] [47]
计量
- 文章访问数:9864
- PDF下载量:511
- 被引次数:0












下载:






