Vacuum arc is a special metal vapor discharge phenomenon, because its discharge medium totally comes from the evaporation and ionization of electrode materials. In the case of low current, the vacuum arc is completely composed of plasma jets emitted from discrete cathode spots on the cathode surface and the current carried by each spot depends on the cathode material. When the arc current exceeds a certain value, a certain number of cathode spot plasma jets will appear. Vacuum arcs play a very important role in some industrial applications such as vacuum circuit breakers, vacuum coatings and electric thrusters. As an important plasma control method, the external axial magnetic field (AMF) has an important influence on the macroscopic morphology and microscopic parameter distribution of the vacuum arc. Various studies of vacuum arc under AMF have been carried out and some progress has been made. However, the existing literature about the simulation research of vacuum arc is mostly concentrated in the case of large current, and less attention is paid to the case of small current. The reason is that the traditional methods, magneto-hydrodynamics or particle-in-cell, are limited by either accuracy or efficiency, and cannot be effectively applied to the low current vacuum arc plasma jet simulations. In this paper, we develop a fully three-dimensional hybrid plasma simulation algorithm to study the single cathode spot vacuum arc plasma jet under AMF. In this model, ions are modelled as particles while electrons are treated as massless fluid, and the self-generated magnetic field is also considered. To simplify the condition, the cathode spot in our model only exists as a plasma jet source, thus the detailed mechanism of producing plasmas is neglected. And the movement of the cathode spot is not considered either. The results show that the single cathode spot plasma jet diffuses into the interelectrode in a cone shape after leaving the cathode spot, and the ion density drops rapidly from cathode to anode. Under the simulation conditions in this paper (
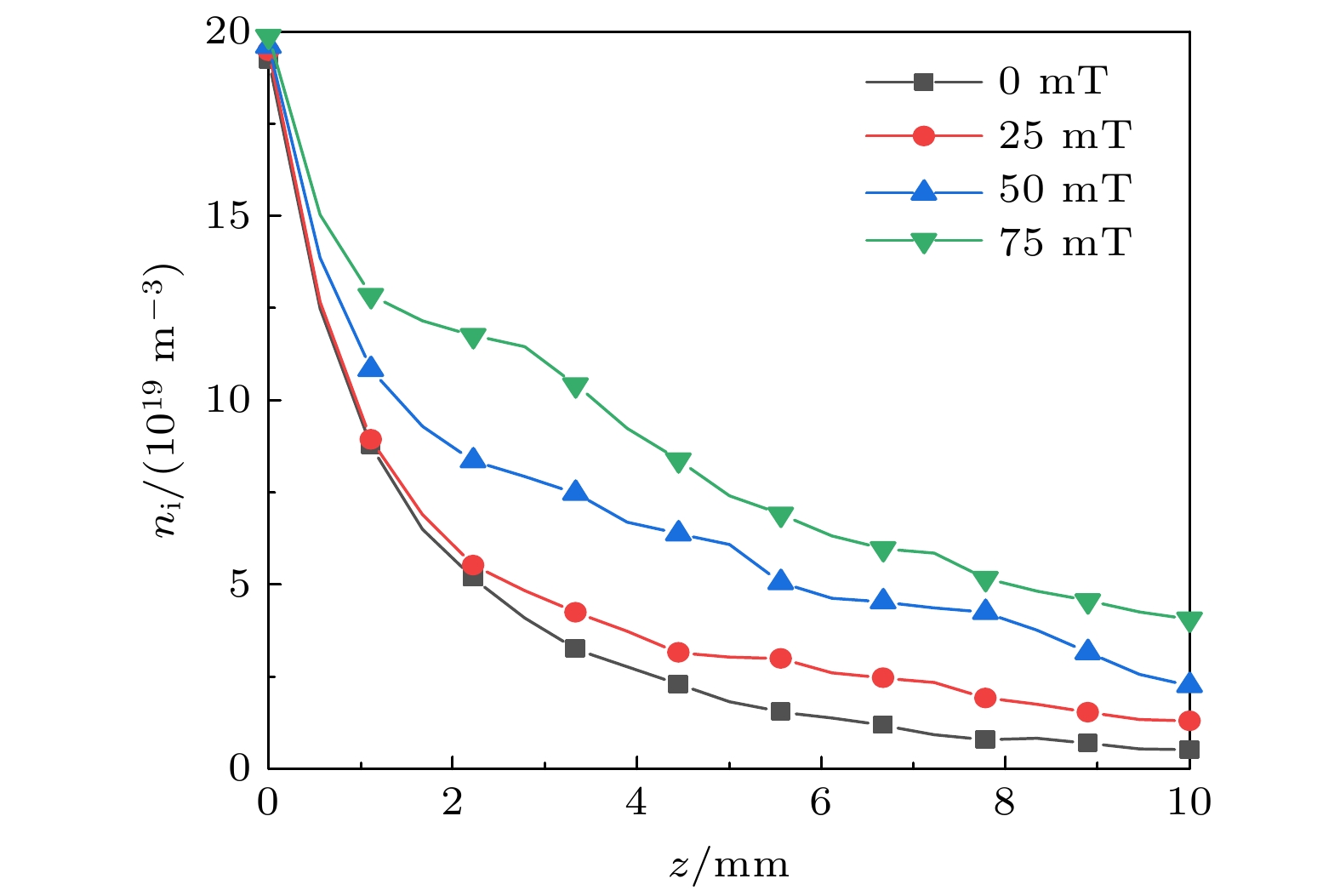
I≤ 150 A), the self-generated magnetic field will not have a significant influence on the plasma jet itself in the case of low current. The external AMF has a compressive effect on the diffusion of the vacuum arc plasma jet. Under the AMF, the radial movement of the ions is suppressed, and the decrease of the ion radial velocity leads to a smaller diffusion radius of the jet. This compression effect of the AMF on the plasma jet is related to both the intensity of the external AMF and the magnitude of the arc current. In the case of a constant arc current magnitude, the compression effect gradually increases as the value of the AMF intensity gradually increases; in the case of a constant value of the external AMF, the compression effect gradually decreases as the current gradually becomes larger.