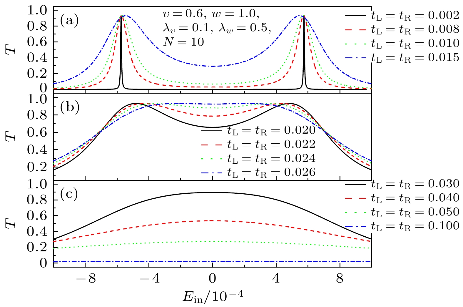
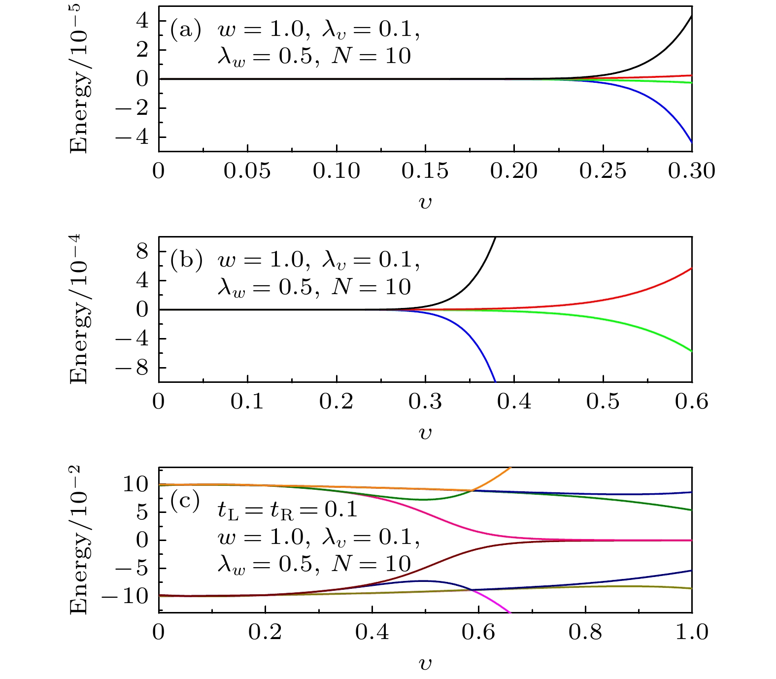
In the Su-Schrieffer-Heeger (SSH) chain, the nontrivial topological edge states will have different winding numbers when the intra-cell and inter-cell hopping amplitudes are spin-dependent ones. Consequently, how to detect the edge states with different winding numbers theoretically and experimentally has become one of important topics in condensed matter physics. In this paper, in the framework of the tight-binding approximation, we study the topological properties and the electron transport properties of the edge states of the SSH chain with the spin-orbit coupling. It is demonstrated that the winding numbers of the quadruple-degenerate and twofold-degenerate edge states are two and one, respectively. Importantly, the electron transport properties in the vicinity of the zero energy can characterize the energy spectra of the edge states, when the spin-polarized electrons tunnel into the SSH chain from the source lead, namely, the source lead is a ferromagnetic one. With increasing the tunneling coupling strengths between the SSH chain and the two leads from the weak coupling regime to the strong coupling one, the number of transmission resonance peaks of the quadruple-degenerate with the winding numbers being two and twofold-degenerate edge states with the winding numbers being one will be reduced by four and two, respectively. In other words, the transmission resonance peaks related to the edge states will disappear when the SSH chain is strongly coupled to the two leads. Therefore, these results suggest an alternative way of detecting the nontrivial topological ones with different winding numbers by changing the number of transmission resonance peaks of edge states.