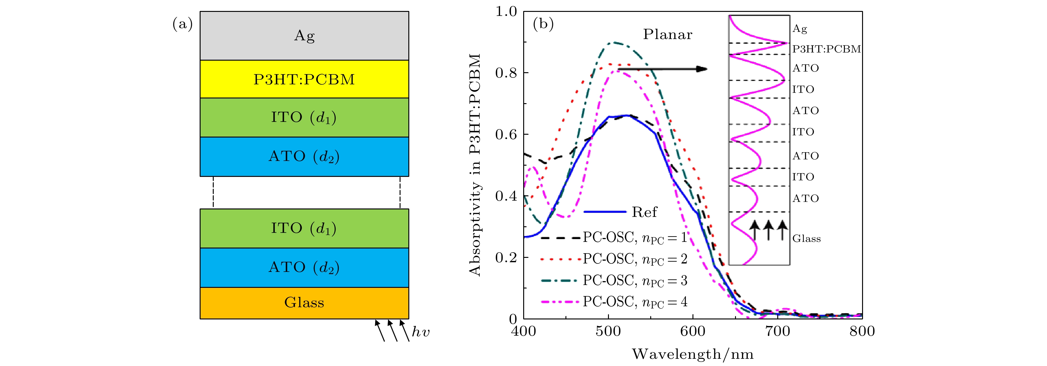
With the rapid development of photovoltaic industry in recent years, organic solar cells have attracted much attention due to their advantages of low cost, light weight, capacity of batch production, simple production process and flexible performance. However, there are still some limitations hindering their commercialization process, including low photoelectric conversion efficiency and poor transmission color rendering. The introduction of photonic crystals provides a new way to solve these two problems. Starting from the optimization principle of photonic crystals, the effects of both one-dimensional photonic crystals and two-dimensional photonic crystals on organic solar cells, especially the short circuit current and photoelectric conversion efficiency, are systematically summarized in this paper. Then, we focus on the reasons for the performance improvement of organic solar cells based on one-dimensional photonic crystals and two-dimensional photonic crystals. The results of the experiments and characterization show that the performance improvement is mainly attributed to the photonic crystal acting as the reflector in the device. Photonic bandgap, a vivid property that the photonic crystals have, can block the light transmitting organic solar cells at a certain frequency. So, the light within the photonic bandgap is reflected back into the device, thus promoting the secondary absorption of light by the active layer which can result in the stronger light absorption capacity of the active layer, and then improving the performance of the device. In addition, the reason why one-dimensional photonic crystals can be used to regulate the color rendering of semitransparent organic solar cell is described in detail. This is of great significance to photovoltaic construction industry because semitransparent organic solar cells with excellent color rendering property can be widely used in it. However, due to the limitation of photonic crystal optimization mechanism, the reported applications so far have failed to improve the filling factor and open circuit voltage of the device, and due to the limitation of its own structure, three-dimensional photonic crystals have not been reported to be used in organic solar cells. Finally, by combining the existing research progress of organic optoelectronic devices, we look into the future research direction of organic solar cells based on photonic crystals.