Recent experimental discovery of intrinsic ferromagnetism (FM) in chromium triiodide (CrI
3) monolayer opens a new way to low-dimensional spintronics. Two-dimensional (2D) CrI
3monolayer is of great significance for its magnetic and electronic properties. Generally, surface atomic adsorption is an effective way to modify the physical properties of layered magnetic materials. Here in this work, we use the first-principles method based on density functional theory (DFT) to systematically study the electronic structure and magnetic properties of 2D CrI
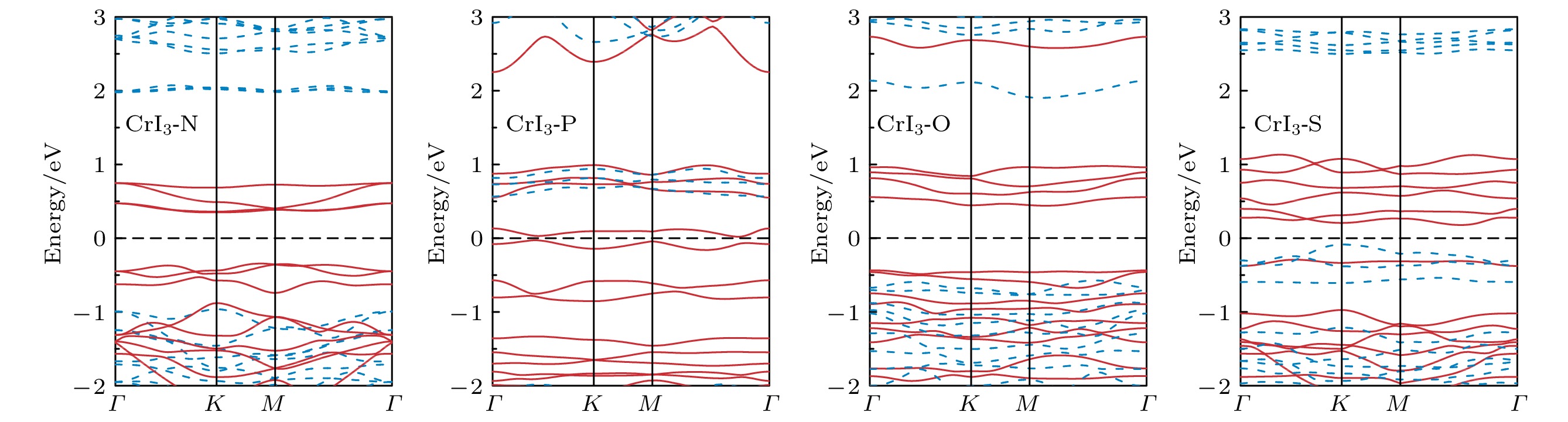
3monolayers that have adsorbed other metal atoms (specifically, alkali (alkaline earth) metal (Li, K and Mg), transition metal (Ti, V, Mn, Fe, Co and Ni) and non-metal (N, P, O and S) atoms). Our results show that the metal atoms tend to be adsorbed in the center of the ring formed by the six I atoms and stay at the same height as Cr atoms, while the positions of the optimized non-metal atoms are in the ring formed by the six I atoms and depend on the type of the atoms. The adsorption of atoms (except for Ti and Mn atoms) does not change the intrinsic ferromagnetic semiconducting properties of CrI
3monolayer. The CrI
3monolayers with Ti or Mn adsorption are antiferromagnetic semiconductors. Moreover, we find that the adsorption of different atoms regulates the local magnetic moments of Cr atoms. The adsorption of metal atoms increases the local magnetic moments of Cr atoms, but not exceeding 4
μ
B. However, the adsorption of non-metallic atoms makes the local magnetic moments of Cr atoms diversified. The adsorption of O and N atoms retain the local magnetic moment of Cr atoms, while the adsorption of P and S atoms increase the local magnetic moment. By combining the projected density of states, we analyze in detail the local magnetic moments of Cr atoms. The increase of the local magnetic moments of Cr atoms is directly related to the charges transferring. Our results provide new ideas for regulating the performance of the magnetism of 2D intrinsic ferromagnetic semiconductor CrI
3, which will have potential applications in the spintronics in the future.