Prediction of chaotic laser has a wide prospect of applications, such as retrieving lost data, providing assists for data analysis, testing data encryption security in cryptography based on chaotic synchronization of lasers. We propose and demonstrate a new method of using time delayed photonic reservoir computing (RC) to forecast the continuous dynamical evolution of chaotic laser from previous measurements. Specifically, the time delayed photonic RC based on semiconductor laser with optical injection and feedback structure is established as a prediction system. Chaotic laser, as input signal, is generated by semiconductor laser with external disturbance.
The time delayed photonic RC used in this stage is a novel implementation, which consists of three parts: the input layer, the reservoir and the output layer. In the input layer, the chaos laser from the semiconductor with an optical feedback needs to preprocess and multiply by a mask signal. The reservoir is the master-slave configuration consisting of a response laser with the optical feedback and light injection. In the feedback loop, there are
Nvirtual nodes at each interval
θwith a delay time of
τ(
N=
τ/
θ). The reservoir performs the mapping of the input signal onto a high-dimensional state space. In the output layer, the output of the reservoir is a linear combination of the reservoir state and the output weight. The output weight is optimized by minimizing the mean-square error between target value and output value through using the ridge regression algorithm.
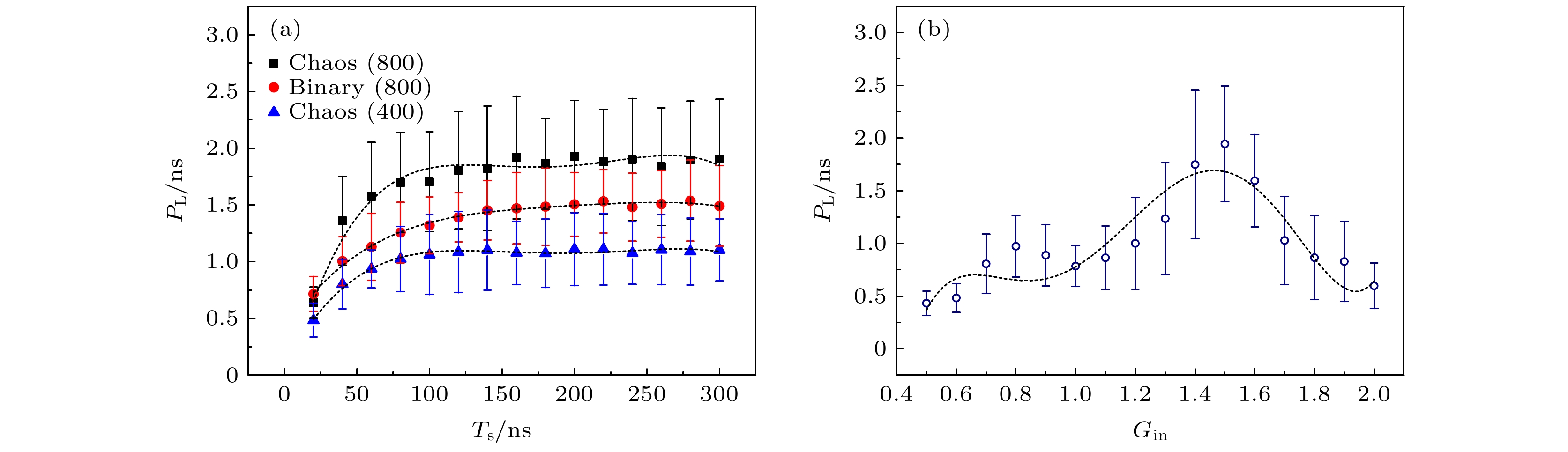
The results demonstrate that time delayed photonic RC based on semiconductor laser can forecast the trajectory of chaotic laser in about 2 ns. Moreover, we also investigate the influence of critical parameters on prediction result, including the type of the mask, the quantity of the virtual nodes, the length of the training data, the input gain, the feedback strength, the injection strength, the ridge parameter and the leakage rate.
The method used here in this work has many attractive advantages, such as simple configuration, low training cost and eminently suitable for hardware implementation. Although the prediction length is limited, the significant innovation using time delayed photonic RC based on semiconductor lasers as the prediction system of chaotic laser presents a new opportunity for further developing a technique for predicting chaotic laser.