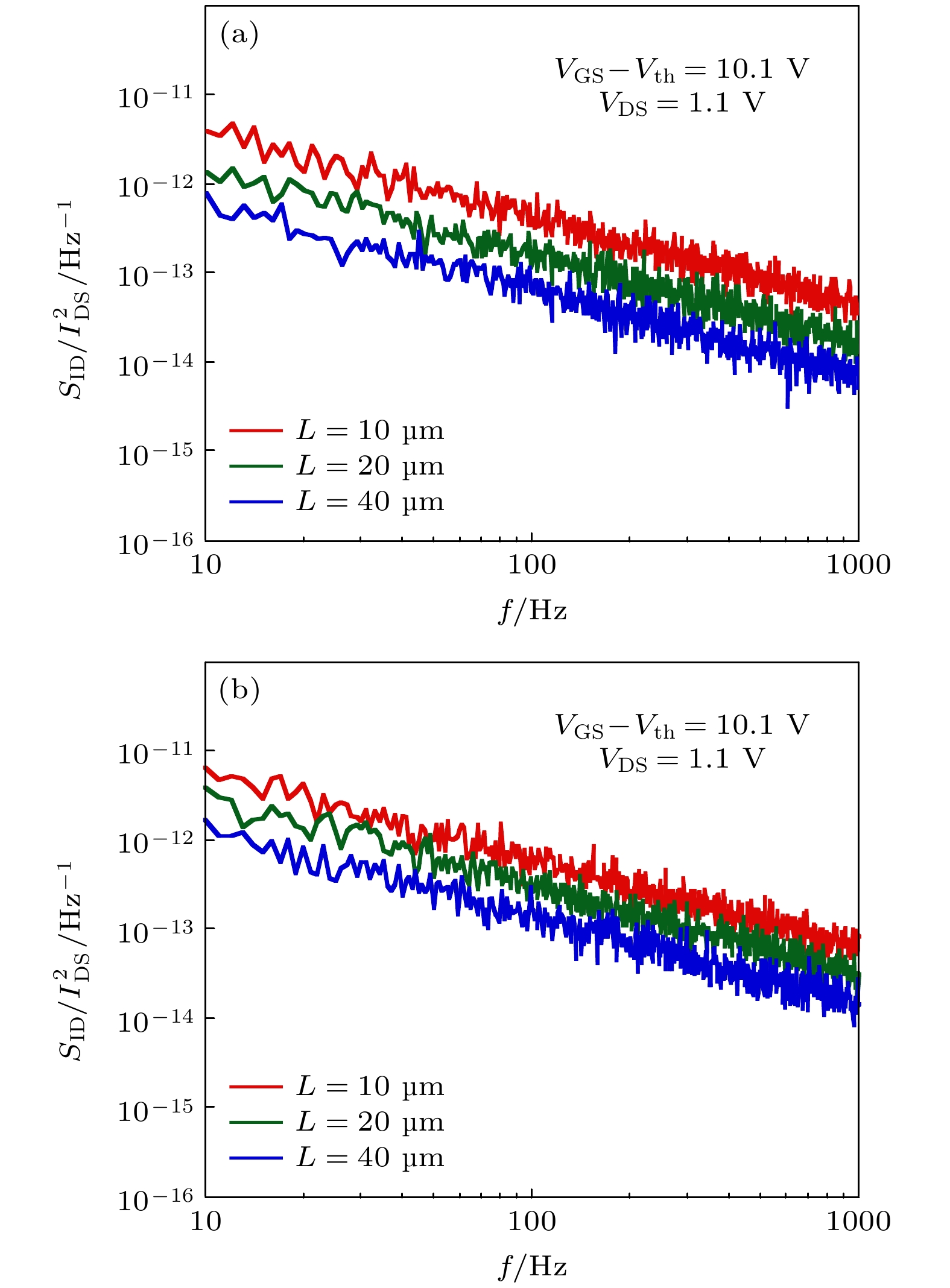
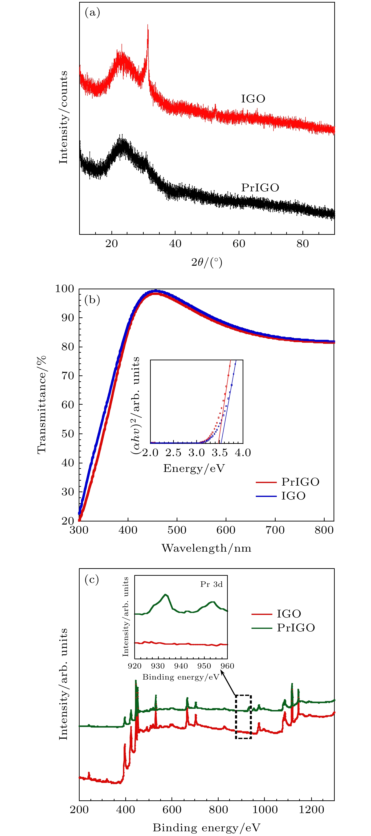
Metal oxide thin film transistors (MOTFTs) have been extensively investigated in the display industry because of their attractive characteristics, including high performances, low processing temperatures, and simple fabrication. However, under the actual working condition, the characteristics of TFTs are easily affected by the light irradiation caused the negative gate bias stress (NBIS). Therefore, the NBIS stability of MOTFT is a crucial issue that must be solved before their commercialization into an optoelectronic device. In this article, praseodymium-doped indium gallium oxide (PrIGO) is employed as the channel layer of thin film transistor (TFT). The TFTs with Pr doping exhibit a remarkable enhancement in NBIS stability. The structure and chemical composition of PrIGO film are analyzed by X-ray diffraction (XRD) and X-ray photoelectron spectroscopy (XPS), respectively. Besides, to further explore the mechanism for the improvement of NBIS stability, the low-frequency noise characteristics of IGO-TFT device and PrIGO-TFT device are studied. According to the low frequency noise characterization and analysis results, the correspondence between the normalized drain current noise power spectral density(
$ S_{\rm ID}/I_{\rm DS}^2 $
) and frequency shows 1/
fγ(
γ≈ 0.8) low frequency noise behavior for IGO-TFT device and PrIGO-TFT device. In addition, by studying the influences of different channel lengths on the low frequency noise of the IGO-TFT and PrIGO-TFT devices, it can be concluded that the low frequency noise of the device comes mainly from the channel region rather than from the source/drain contact region. In the linear region of the IGO-TFT device and PrIGO-TFT device, according to the linear fitting of the
$ S_{\rm ID}/I_{\rm DS}^2 $
versus the overdrive voltage (
V
GS–
V
th), it is proved that the low frequency noise of the IGO-TFT device and the PrIGO-TFT device are mainly affected by the carrier number fluctuation model. Finally, based on the carrier number fluctuation model, the defect state density at the interface between active layer and gate insulating layer is extracted to be 7.76 × 10
17cm
–3·eV
–1and 9.55 × 10
17cm
–3·eV
–1for IGO-TFT and PrIGO-TFT devices, respectively. We speculate that the Pr element can induce defect states in the IGO system, and the trap states induced by Pr ions facilitate the capture of free electrons by positively charged oxygen vacancies, which lead the photo-induced carrier in conduction band to be suppressed.