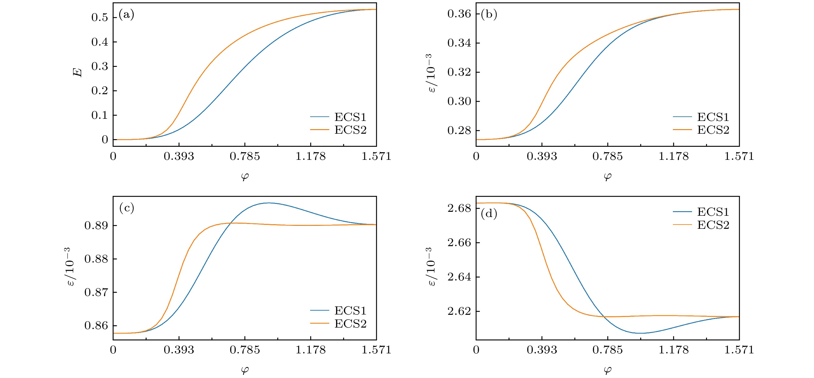
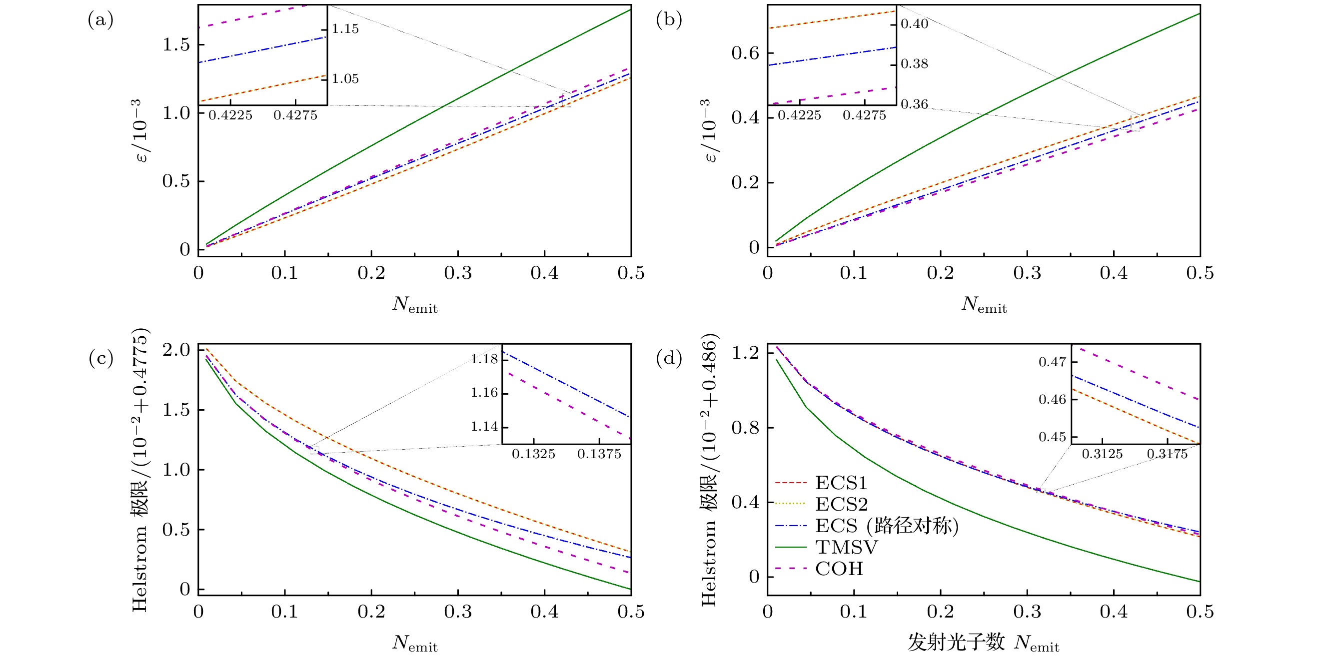
There has been a great interest in quantum metrology (e.g., quantum interferometric radar) due to its applications in sub-Rayleigh ranging and remote sensing. Despite interferometric radar has received vast amount of attentions over the past two decades, very few researches has been conducted on another type of quantum radar: quantum illumination radar, or more precisely quantum target detection. It is, in general, used to interrogate whether the low-reflectivity target in a noisy thermal bath is existed using quantum light. The entanglement properties of its emitted light source give it a unique detection advantage over the classical radar. Entangled coherent state (ECS), as a class of quantum states with high entanglement robustness in noisy environments, has been widely used in several fields of quantum science such as quantum informatics, quantum metrology . In this paper, we investigate the target detection performance of quantum illumination radar based on three different types of ECS states. We employ the two-mode squeezed vacuum state (TMSV) and the coherent state as benchmarks to compare and analyze the relationship between the entanglement strength of the three types of ECS states and their quantum illumination detection performance. We found that the detection performance of the three ECS states is better than that of the coherent state. However, it is inferior to that of the TMSV state when the target is of low reflectivity. The emitted photon number is much smaller than the background noise (we call this as “good” illumination conditions). On the contrary, quantum illumination radar has no obvious advantage over coherent state radar for target detection under other illumination conditions; further, the detection performance of these three types of ECS states is not evidently related to that of the TMSV state and the coherent state. Finally, we reveal that the target detection performance of quantum illumination for the first two types of ECS states can be determined by their entanglement strength under “good” illumination conditions by adjusting the inter-modal phase of these two ECS states while keeping the emitted photon number constant. Under other illumination conditions, there is no evidence to demonstrate the entanglement strength of ECS states being associated with their target detection performance.