-
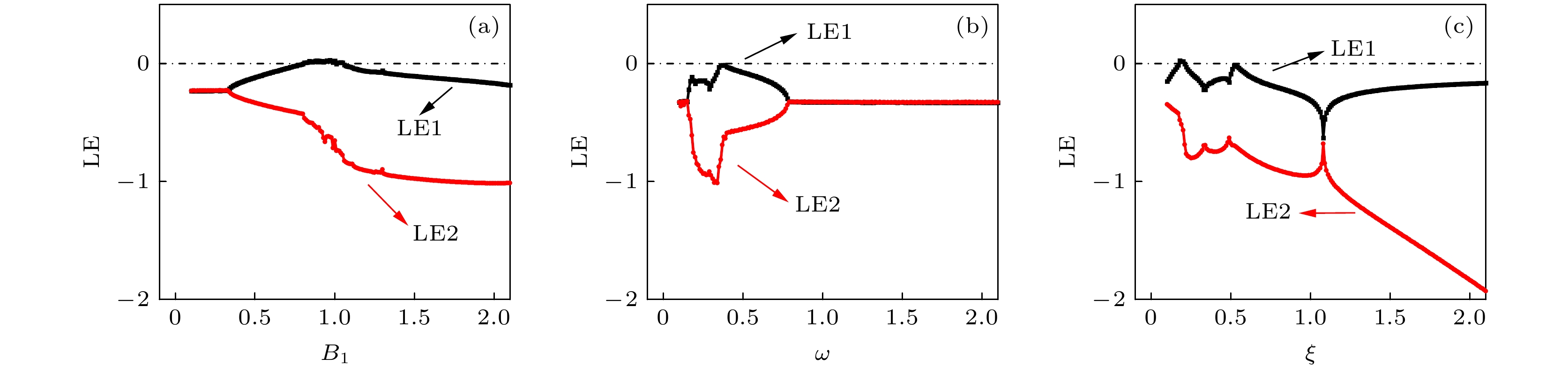
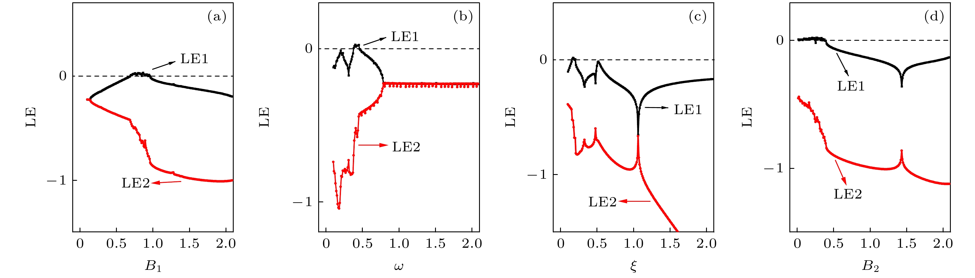
放电模态是可以识别生物神经元的电活动, 即细胞内和细胞外的离子被泵送并在细胞内交换的过程. 通过适当的物理刺激, 人工神经元电路可以被设计以重现类似生物神经元的放电模式. 光电管中产生的光电流可以作为信号源, 对神经元电路进行刺激. 但由于不同支路上的通道电流对功能神经元动力学的控制程度不同, 所以光电管接入不同的支路, 将会使神经元电路的放电模式产生很大差异. 本文所采用的非线性神经元是由一个电容器、感应线圈、非线性电阻、两个理想电阻和一个周期电压源组成的FHN (FitzHugh-Nagumo neuron)电路. 在此基础上, 将光电管引入不同的支路来改变通道电流, 以研究光电流的生物物理作用. 当光电管连接到电容上, 光电管被激活从而改变通道电流时, 细胞膜电位可以直接改变, 并切换激发模式. 当光电管串联连接到感应线圈时, 通过感应线圈的感应电流被调节以平衡外部刺激. 这些结果表明, 在本文构建的两类光敏神经元模型中, 相比光电流驱动电感支路, 光电流驱动电容器支路可以更有效地调节膜电位, 大大提高感光灵敏度.Firing patterns discern the electrical activities in biological neurons when intracellular and extracellular ions are pumped into cells and exchanged there. Artificial neural circuits can be tamed to reproduce similar firing modes from biological neurons by applying appropriate physical stimuli. Photocurrent generated in the phototube can be used as a signal source, which can stimulate the neural circuits, while the involvement of which branch circuit will be much different because the channel current can control the dynamics of functional neuron to a different degree. In this paper, based on a nonlinear (FitzHugh-Nagumo, FHN) neural circuit composed of one capacitor, induction coil, nonlinear resistor, two ideal resistors and one periodical stimulus, the phototube is incorporated into different branch circuits for changing the channel current and the biophysical role of photocurrent is investigated. The dynamical equations of three types of system are unified, though they fall in different areas in parameter space. The membrane potential can be directly changed and firing modes are switched when photocurrent is activated to change the channel current by connecting the phototube to the capacitor. The induced current across the induction coil is regulated to balance the external stimulus when the phototube is connected to the induction coil in series. The two types of photosensitive neuron models constructed in this paper are compared with the photocurrent driven inductive branch showing that the photocurrent driven capacitive branch can very effectively regulate the membrane potential and greatly improve the photosensitive sensitivity.
-
Keywords:
- neural circuit/
- phototube/
- bifurcation/
- functional neuron
[1] [2] [3] [4] [5] [6] [7] [8] [9] [10] [11] [12] [13] [14] [15] [16] [17] [18] [19] [20] [21] [22] [23] [24] [25] [26] [27] [28] [29] [30] [31] [32] [33] [34] [35] [36] [37] [38] [39] [40] [41] [42] [43] [44] [45] [46] [47] -
[1] [2] [3] [4] [5] [6] [7] [8] [9] [10] [11] [12] [13] [14] [15] [16] [17] [18] [19] [20] [21] [22] [23] [24] [25] [26] [27] [28] [29] [30] [31] [32] [33] [34] [35] [36] [37] [38] [39] [40] [41] [42] [43] [44] [45] [46] [47]
计量
- 文章访问数:4453
- PDF下载量:99
- 被引次数:0












下载:











