-
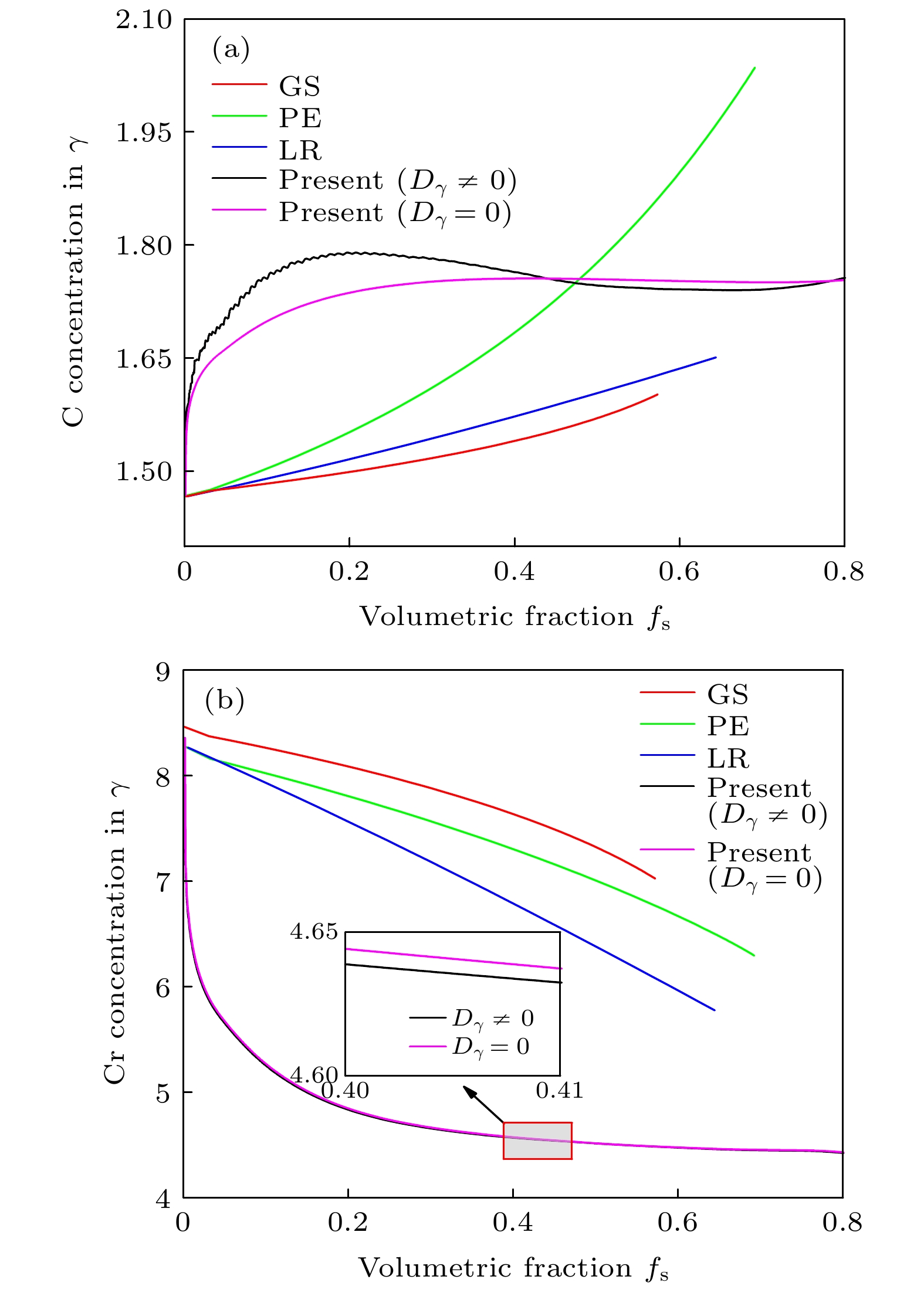
高铬铸铁中M 7C 3碳化物大小适中、弥散均匀分布, 有利于提高合金的耐磨性. 为分析凝固过程中M 7C 3碳化物晶粒在基体中的形貌及分布、M 7C 3碳化物与奥氏体晶粒生长的相互作用、引起的溶质偏聚对最终M 7C 3碳化物粒径分布的影响, 本文开发了Fe-C-Cr三元合金小面晶M 7C 3碳化物与奥氏体晶粒共生长的二维微观元胞自动机模型, 模型中加入潜热释放对凝固过程温度场的影响, 由C, Cr两溶质界面扩散共同确定晶体生长速度, 由凝固路径数据表插值获取液相元胞的溶质平衡浓度, 设定M 7C 3碳化物邻胞结构并优化形状因子来保持M 7C 3碳化物小面晶形貌, 模拟了Fe-4%C-17%Cr三元合金(C和Cr的质量分数分别为4%和17%)初生M 7C 3碳化物和共晶奥氏体晶粒的生长演变过程. 研究表明, M 7C 3碳化物和奥氏体晶粒各自的生长速度随着界面液相中C, Cr溶质的超饱和度和贝克列数的增大而增大; 随着奥氏体的析出和晶粒生长, M 7C 3碳化物晶粒的生长速度明显增快; 当奥氏体晶粒逐渐接触并包围M 7C 3碳化物晶粒时, 两相晶粒生长速度逐渐降低. 凝固过程中, 奥氏体晶粒生长向外排出C, Cr溶质, 与吸收C, Cr溶质生长的M 7C 3碳化物晶粒互补, 致使二者生长互相促进, 最终奥氏体晶粒包围M 7C 3碳化物晶粒生长. 预测的冷却曲线与实验冷却曲线变化趋势相符; 最终凝固组织形貌和M 7C 3碳化物体积分数与实验相符; 剩余液相、奥氏体中C, Cr溶质浓度演变也与Gulliver-Scheil, Partial Equilibrium, Lever Rule模型预测结果相符.
-
关键词:
- Fe-C-Cr三元合金/
- M7C3小面晶/
- 二相共生长/
- 元胞自动机
M 7C 3carbide’s amount, size, morphology and distribution in the microstructure contribute much to the wear resistance of high chromium cast irons. In the present paper, a two-dimensional microscopic cellular automaton model for the growth of the faceted M 7C 3carbide together with the austenitic dendrite grains in an Fe-4%C-17%Cr ternary alloy is developed to obtain the evolution of M 7C 3carbide grain morphology, the concentration redistribution and their interaction during the growth of M 7C 3carbide and austenite grains, and also the total influence on the final M 7C 3carbides’ size. The model includes the effect of latent heat release on the temperature drop. The grain growth velocity is determined by both the diffusion of C solute and the diffusion of Cr solute at the S/L interface. The equilibrium concentration in liquid cells is interpolated from the tablulated solidification path which is prescribed by Gulliver-Scheil approximation coupling with the thermodynamic equilibrium calculation. The morphology of the faceted M 7C 3carbide is maintained through setting its neighborhood relations and optimizing its shape factor at grain growth. The results show that the individual grain growth velocity for M 7C 3carbide and austenite increases with the increase of the supersaturation and Peclet number of solute C and Cr. The austenite precipitation and grain growth obviously speed up the growth velocity of M 7C 3carbide grains. While with the austenite grains gradually touching and enveloping the M 7C 3carbide grain, the growth velocities for both kinds of grains decrease. The rejection of solute C and Cr during austenite grain growth complements the absorption of solute C and Cr during M 7C 3carbide grain growth, thus promoting their growth. The predicted cooling curve fits with the evolution tendency of the experimental one. The predicted final solidification microstructure and M 7C 3carbide amount in volume fraction are in agreement with the experimental ones. Furthermore, both C solute concentration distribution and Cr solute concentration distribution in both residual liquid and austenite are consistent with the predictions by the Gulliver-Scheil, partial equilibrium and lever rule model.[1] [2] [3] [4] [5] [6] [7] [8] [9] [10] [11] [12] [13] [14] [15] [16] [17] [18] [19] [20] [21] [22] [23] [24] [25] [26] [27] [28] [29] [30] [31] [32] [33] [34] [35] [36] [37] [38] [39] [40] -
Parameters Symbol Unit Value Note Initial composition C $ {C_{{\text{C0}}}} $ % 4.00 文献[22] Initial composition Cr $ {C_{{\text{Cr0}}}} $ % 17.00 文献[22] Austenite nucleation temperature $ \mathop T\nolimits_{{\gamma }} $ ℃ 1266.00 GS model M7C3nucleation temperature $ \mathop T\nolimits_{\text{M}} $ ℃ 1304.00 GS model C partition coefficient at austenite/liquid interface ${k_{ { {{\rm p}, {\mathrm{\gamma }/\mathrm{L} } , {\rm C} } } } }$ — 0.407 GS model Cr partition coefficient at austenite/liquid interface ${k_{ { {{\rm p}, {\mathrm{\gamma }/\mathrm{L} } , {\rm Cr} } } } }$ — 0.576 GS model Liquidus slope of C at austenite/liquid interface ${m_{ { { {\mathrm{L}/\mathrm{\gamma } }, {\rm C} } } } }$ ℃/% –95.49 GS model Liquidus slope of Cr at austenite/liquid interface ${m_{ { { {\mathrm{L}/\mathrm{\gamma } }, {\rm Cr} } } } }$ ℃/% 6.14 GS model Liquidus slope of C at M7C3/liquid interface ${m_{ {{\rm L/M}, \text{C} } } }$ ℃/% 90.37 GS model Liquidus slope of Cr at M7C3/liquid interface ${m_{ {{\rm L/M},\text{Cr} } } }$ ℃/% 15.29 GS model Diffusion coefficient of C in austenite ${D_{ { \mathrm{\gamma }, {\rm C} } } }$ m2/s 2.57×10–10 GS model Diffusion coefficient of Cr in austenite ${D_{ { {\mathrm{\gamma } , \rm Cr} } } }$ m2/s 3.67×10–14 GS model Diffusion coefficient of C in liquid phase ${D_{ {\text{L,C} } } }$ m2/s 9.60×10–10 GS model Diffusion coefficient of Cr in liquid phase ${D_{ {\text{L,Cr} } } }$ m2/s 8.23×10–10 GS model Diffusion coefficient of C in M7C3 ${D_{ {\text{M,C} } } }$ m2/s 0.0 Diffusion coefficient of Cr in M7C3 ${D_{ {\text{M,Cr} } } }$ m2/s 0.0 Gibbs-Thomson coefficient at austenite/liquid interface ${\varGamma _{ {\gamma } } }$ $ {\text{m}} \cdot {\text{K}} $ 1.9×10–7 文献[37] Gibbs-Thomson coefficient at M7C3/liquid interface ${\varGamma _{\text{M} } }$ $ {\text{m}} \cdot {\text{K}} $ 6.213×10–7 文献[38] Latent heat of fusion for austenite $ \mathop L\nolimits_{{\gamma }} $ J/kg 1.86×105 GS model Latent heat of fusion for M7C3 $ \mathop L\nolimits_{\text{M}} $ J/kg 2.38×105 GS model Specific heat capacity $\mathop c\nolimits_{\rm p}$ J/(kg$ \cdot $℃) 839 GS model Model Alloy composition M7C3precipitation temperature/℃ γ precipitation temperature/℃ CEM precipitation temperature or solidus /℃ Phase volume fraction at CEM precipitation
temperature or solidusGS model Fe-4%C-17%Cr 1304 1266 1194(CEM) 29.91%(M7C3) 57.22%(γ) GS model Fe-4%C-17%Cr-1.5%Ti 1288 1271 1193(CEM) 26.38%(M7C3) 63.20%(γ) Fe-C phase diagram Fe-4%C-17%Cr 1305 1266 1239(solidus) — Fe-C phase diagram Fe-4%C-17%Cr-1.5%Ti 1285 1271 1248(solidus) — GS model Fe-3.23%C-23.8%Cr 1305 1297 1193(CEM) 28.18%(M7C3) 71.62%(γ) GS model Fe-3.23%C-23.8%Cr-4%Ti 1296 1324 1296(solidus) 17.80%(M7C3) 74.28%(γ) Fe-C phase diagram Fe-3.23%C-23.8%Cr 1305 1296 1292(solidus) — Fe-C phase diagram Fe-3.23%C-23.8%Cr-4%Ti 1295 1328 1295(solidus) — -
[1] [2] [3] [4] [5] [6] [7] [8] [9] [10] [11] [12] [13] [14] [15] [16] [17] [18] [19] [20] [21] [22] [23] [24] [25] [26] [27] [28] [29] [30] [31] [32] [33] [34] [35] [36] [37] [38] [39] [40]
计量
- 文章访问数:4134
- PDF下载量:54
- 被引次数:0












下载:














