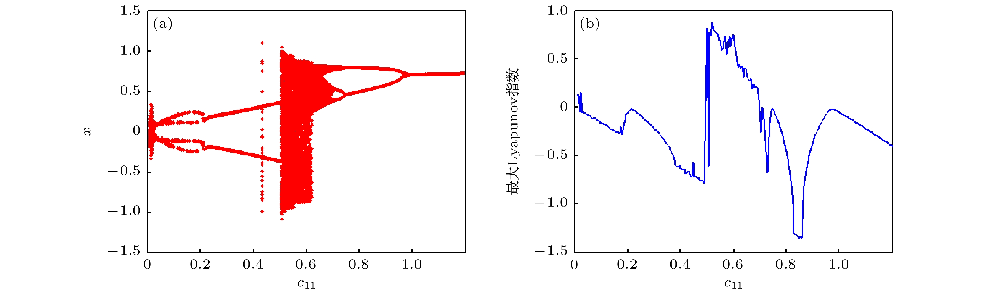
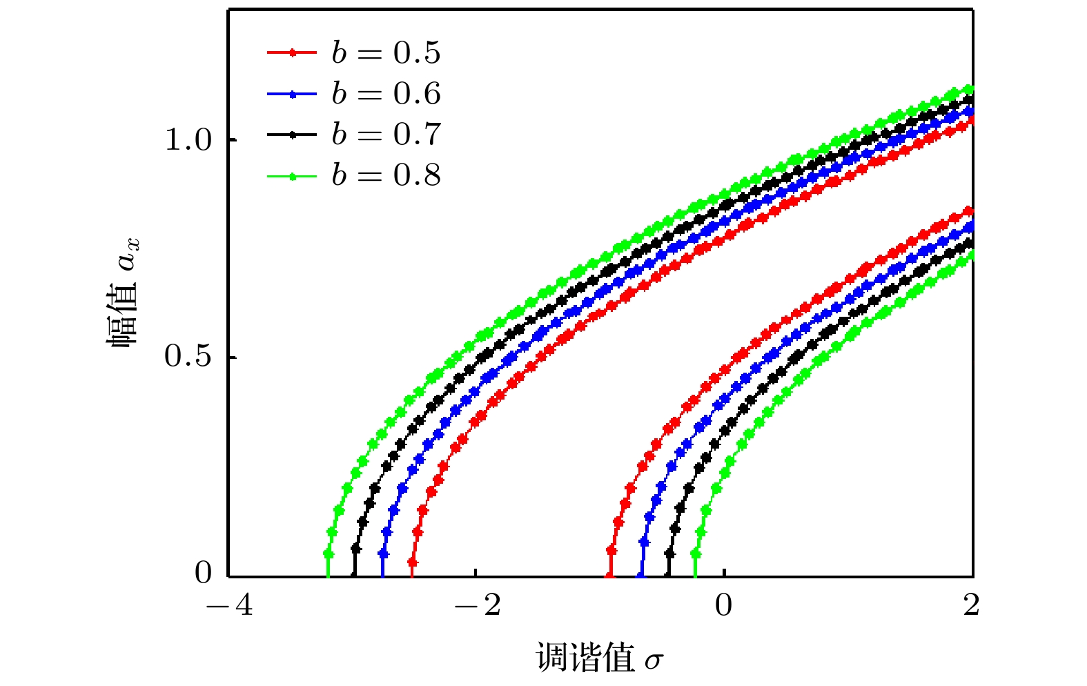
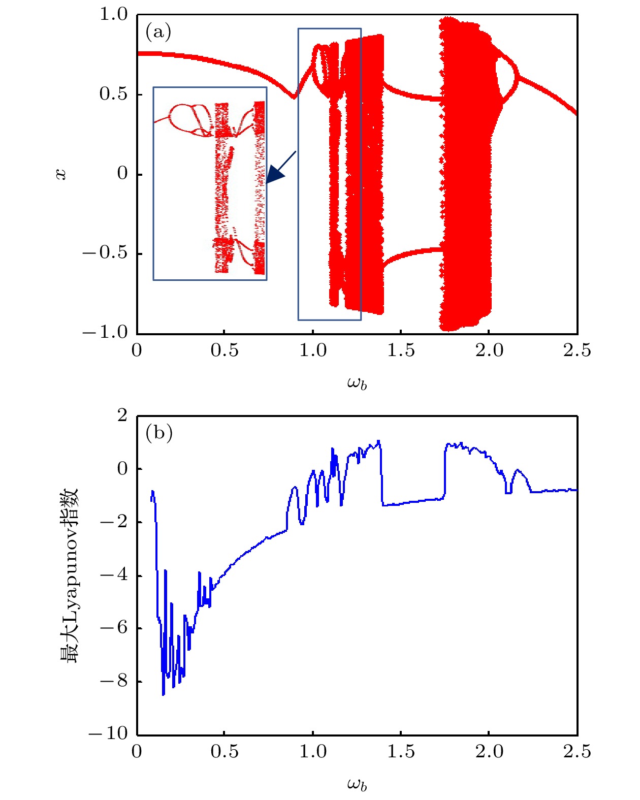
In order to improve the working performance and optimize the working parameters of the typical engineering pendulum of a typical system that it is abstracted as a physical simple pendulum model with vertical excitation and horizontal constraint. The dynamical equation of the system with vertical excitation and horizontal constraint is established by using Lagrange equation. The multiple-scale method is used to analyze the subharmonic response characteristics of the system. The amplitude-frequency response equation and the phase-frequency response equation are obtained through calculation. The effects of the system parameters on the amplitude resonance bandwidth and variability are clarified. According to the singularity theory and the universal unfolding theory, the bifurcation topology structure of the subharmonic resonance of the system is obtained. The Melnikov function is applied to the study of the critical conditions for the chaotic motion of the system. The parameter equation of homoclinic orbit motion is obtained through calculation. The threshold conditions of chaos in the sense of Smale are analyzed by solving the Melnikov function of the homoclinic motion orbit. The dynamic characteristics of the system, including single-parameter bifurcation, maximum Lyapunov exponent, bi-parameter bifurcation, and manifold transition in the attraction basin, are analyzed numerically. The results show that the main path of the system entering into the chaos is an almost period doubling bifurcation. Complex dynamical behaviors such as periodic motion, period doubling bifurcation and chaos are found. The bi-parameter matching areas of the subharmonic resonance bifurcation and chaos of the system are clarified. The results reveal the global characteristics of the system with vertical excitation and horizontal constraint, such as subharmonic resonance bifurcation, periodic attractor multiplication, and the coexistence of periodic and chaotic attractors. The results further clarify the mechanism of the influence of system parameters change on the movement form transformation, energy distribution and evolution law of the system. The mechanism of the influence of relevant parameters on the performance of the engineering system with vertical excitation and horizontal constraint is also obtained. The results of this research provide theoretical bases for adjusting the parameters of working performances of this typical physical system in engineering domain and the vibration reduction and suppression of the system in actual working conditions.