-
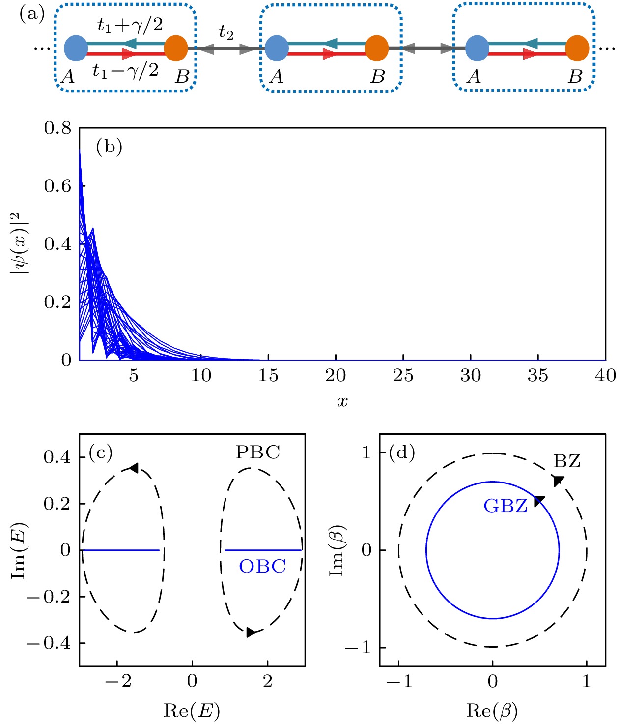
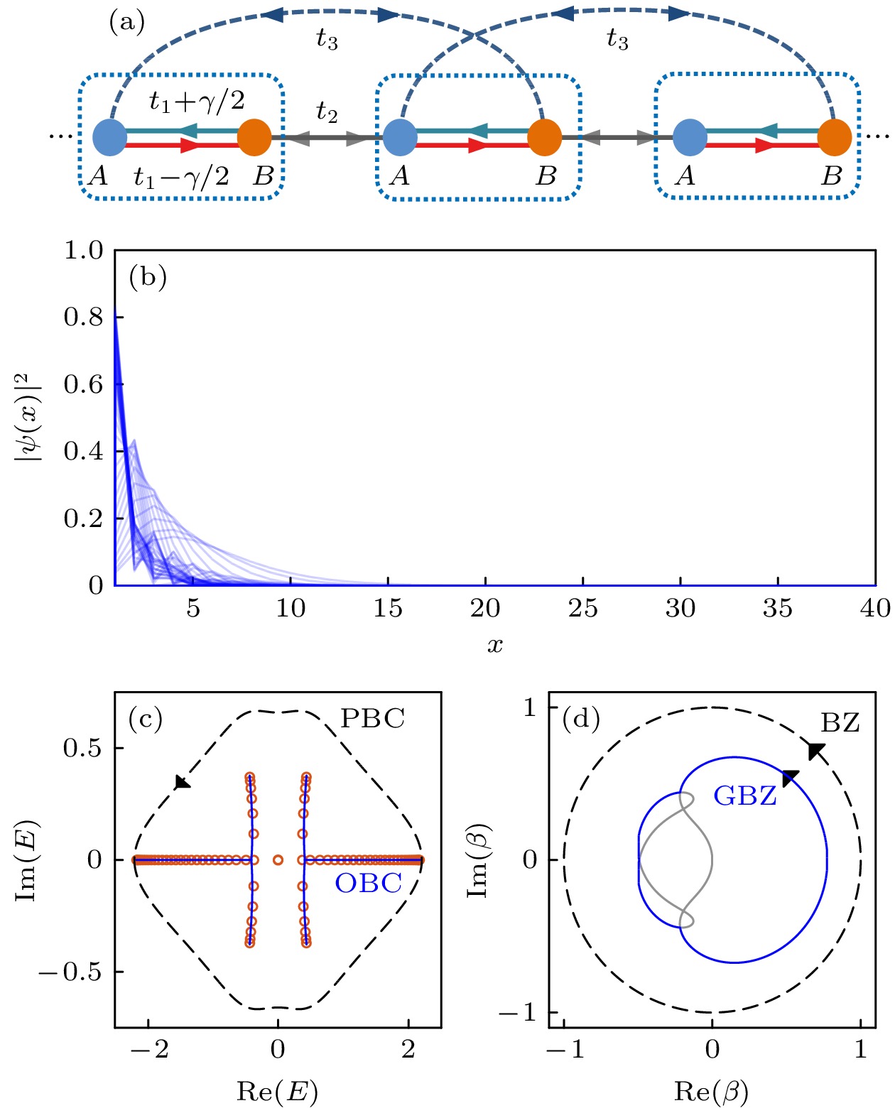
能带理论是凝聚态物理的基石之一, 其应用范围已延伸至许多其他物理领域. 近年来, 众多非厄米物理问题要求将能带理论推广至非厄米体系. 人们在非厄米拓扑体系的研究中发现, 这一推广需要修改能带理论的若干基本概念. 非厄米趋肤效应(non-Hermitian skin effect)这一普遍的非厄米现象导致了布洛赫能带图像的失效以及常规体边对应关系的破坏. 在能谱计算与拓扑不变量定义中, 通常的布里渊区概念需要代之以广义布里渊区(generalized Brillouin zone). 非厄米体系的一系列独特现象可以在广义布里渊区下得到精确刻画. 基于广义布里渊区的非厄米能带理论成功描述并预言了非厄米系统的大量新颖现象. 因其相对布洛赫图像的偏离, 这一理论被称为非布洛赫能带理论(non-Bloch band theory). 本文梳理了广义布里渊区和非布洛赫能带理论的主要概念, 并简要介绍了该理论在非厄米体边对应原理、格林函数、波包动力学、手征衰减和非布洛赫宇称-时间对称性等方面的应用.The energy band theory is one of the cornerstones of condensed matter physics. It also has wide applications in other branches of physics. Recently, a number of questions from non-Hermitian physics call for a generalization of energy band theory to non-Hermitian systems. In the study of non-Hermitian topological states, it has been found that such a generalization necessitates redefinitions of certain fundamental concepts of band theory. In particular, the non-Hermitian skin effect (NHSE) causes the breakdown of Bloch-band picture and conventional bulk-boundary correspondence. To calculate the energy spectra and define topological invariants, the standard Brillouin zone gives way to the generalized Brillouin zone (GBZ). Many intriguing non-Hermitian phenomena, including the non-Hermitian skin effect, can be precisely characterized in terms of the generalized Brillouin zone. The non-Hermitian band theory based on the concept of generalized Brillouin zone, now generally known as the non-Bloch band theory, has successfully described and predicted a number of novel non-Hermitian phenomena. The present article provides a brief introduction to the main concepts of non-Bloch band theory, and its applications in the non-Hermitian bulk-boundary correspondence, Green’s functions, wave dynamics, chiral damping, and non-Bloch parity-time symmetry.
-
Keywords:
- generalized Brillouin zone/
- non-Hermitian skin effect/
- non-Bloch band theory/
- non-Hermitian band theory
[1] [2] [3] [4] [5] [6] [7] [8] [9] [10] [11] [12] [13] [14] [15] [16] [17] [18] [19] [20] [21] [22] [23] [24] [25] [26] [27] [28] [29] [30] [31] [32] [33] [34] [35] [36] [37] [38] [39] [40] [41] [42] [43] [44] [45] [46] [47] [48] [49] [50] [51] [52] [53] [54] [55] [56] [57] [58] [59] [60] [61] [62] [63] [64] [65] [66] [67] [68] [69] [70] [71] [72] [73] [74] [75] [76] [77] [78] [79] [80] [81] [82] [83] [84] [85] [86] [87] [88] [89] [90] [91] [92] [93] [94] [95] [96] [97] [98] [99] [100] [101] [102] [103] [104] [105] [106] [107] [108] [109] [110] [111] [112] [113] [114] [115] [116] [117] [118] [119] -
[1] [2] [3] [4] [5] [6] [7] [8] [9] [10] [11] [12] [13] [14] [15] [16] [17] [18] [19] [20] [21] [22] [23] [24] [25] [26] [27] [28] [29] [30] [31] [32] [33] [34] [35] [36] [37] [38] [39] [40] [41] [42] [43] [44] [45] [46] [47] [48] [49] [50] [51] [52] [53] [54] [55] [56] [57] [58] [59] [60] [61] [62] [63] [64] [65] [66] [67] [68] [69] [70] [71] [72] [73] [74] [75] [76] [77] [78] [79] [80] [81] [82] [83] [84] [85] [86] [87] [88] [89] [90] [91] [92] [93] [94] [95] [96] [97] [98] [99] [100] [101] [102] [103] [104] [105] [106] [107] [108] [109] [110] [111] [112] [113] [114] [115] [116] [117] [118] [119]
计量
- 文章访问数:19879
- PDF下载量:1996
- 被引次数:0












下载:









