-
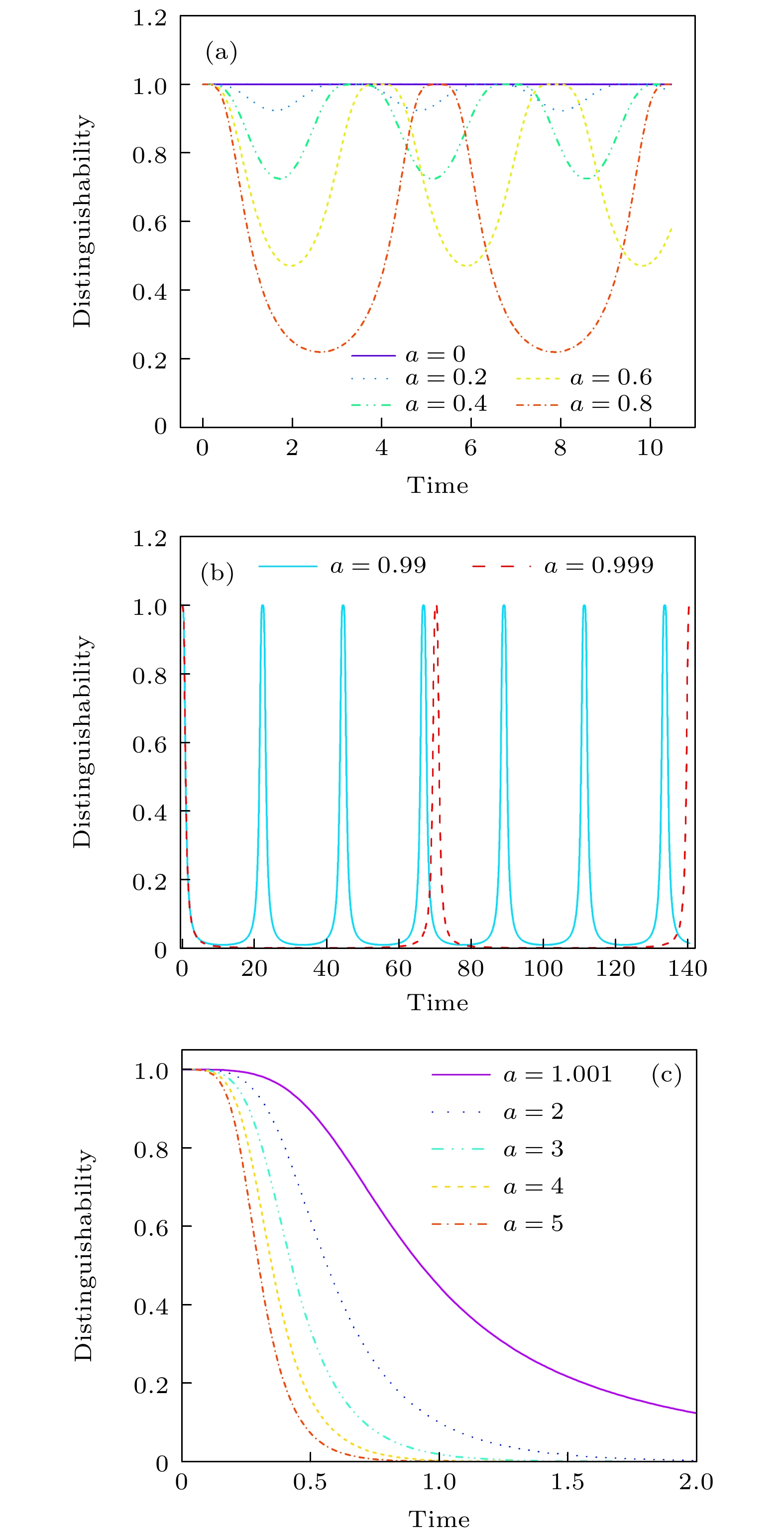
近期, 满足宇称-时间对称性的非厄米系统的研究取得了令人印象深刻的进展, 如物理系统拓扑性质和奇异点处临界性的观测. 宇称-时间对称的非幺正动力学的一个至关重要的方面就是系统与环境之间的信息流动. 本文利用量子态间的可区分性这一物理量, 统一量化了低维与高维宇称-时间对称的非厄米系统和环境之间的信息流动. 数值计算结果表明, 在宇称-时间对称性保持的相区域可以观测到量子态间可区分性的振荡以及完全的信息恢复. 然而在宇称时间对称性破坏的相区域, 信息处于指数衰减的状态. 奇异点处标志着信息流动的可逆与不可逆的临界性, 量子态间的可区分性表现出幂律衰减的行为. 理解非幺正量子动力学中的这些独特的现象为研究开放量子系统提供了重要视角, 并且有助于其在量子信息中的应用.Recently, impressive progress has been made in the study of non-Hermitian systems with parity-time symmetry, such as observations of topological properties of physical systems and criticality at exceptional points. A crucial aspect of parity-time symmetric nonunitary dynamics is the information flow between the system and the environment. In this paper, we use the physical quantity, distinguishability between quantum states, to uniformly quantify the information flow between low-dimensional and high-dimensional parity-time symmetric non-Hermitian systems and environments. The numerical results show that the oscillation of quantum state distinguishability and complete information retrieval and can be obtained in the parity-time-unbroken phase. However, the information decays exponentially in the parity-time-broken phase. The exceptional point marks the criticality between reversibility and irreversibility of information flow, and the distinguishability between quantum states exhibits the behavior of power-law decay. Understanding these unique phenomena in nonunitary quantum dynamics provides an important perspective for the study of open quantum systems and contributes to their application in quantum information.
[1] [2] [3] [4] [5] [6] [7] [8] [9] [10] [11] [12] [13] [14] [15] [16] [17] [18] [19] [20] [21] [22] [23] [24] [25] [26] [27] [28] [29] [30] [31] [32] [33] [34] [35] [36] [37] [38] [39] [40] [41] [42] [43] [44] [45] [46] [47] [48] [49] [50] [51] [52] [53] [54] [55] [56] [57] [58] [59] [60] [61] [62] [63] [64] [65] [66] [67] [68] [69] [70] [71] [72] [73] [74] [75] [76] [77] [78] [79] [80] [81] [82] [83] [84] [85] [86] [87] [88] [89] [90] [91] [92] [93] [94] [95] [96] -
[1] [2] [3] [4] [5] [6] [7] [8] [9] [10] [11] [12] [13] [14] [15] [16] [17] [18] [19] [20] [21] [22] [23] [24] [25] [26] [27] [28] [29] [30] [31] [32] [33] [34] [35] [36] [37] [38] [39] [40] [41] [42] [43] [44] [45] [46] [47] [48] [49] [50] [51] [52] [53] [54] [55] [56] [57] [58] [59] [60] [61] [62] [63] [64] [65] [66] [67] [68] [69] [70] [71] [72] [73] [74] [75] [76] [77] [78] [79] [80] [81] [82] [83] [84] [85] [86] [87] [88] [89] [90] [91] [92] [93] [94] [95] [96]
计量
- 文章访问数:4451
- PDF下载量:318
- 被引次数:0












下载:


