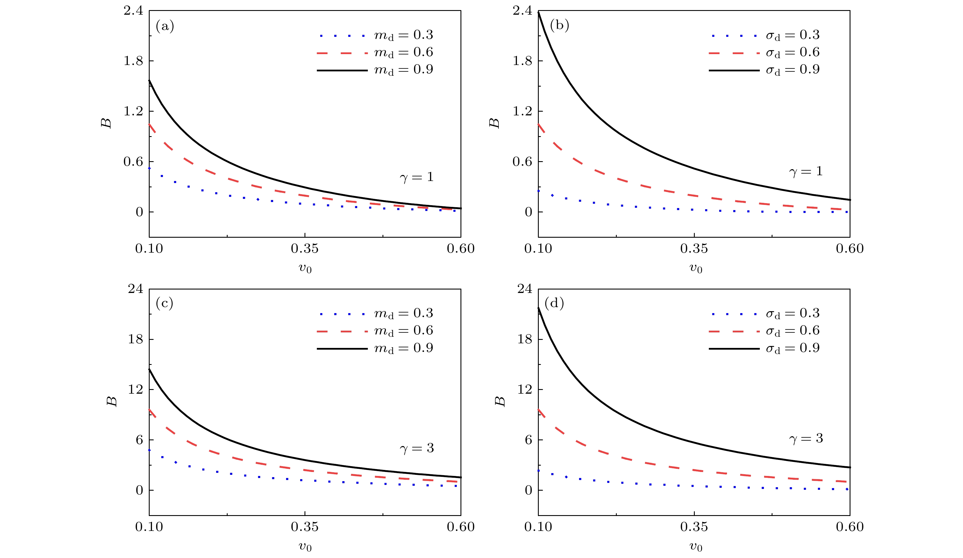
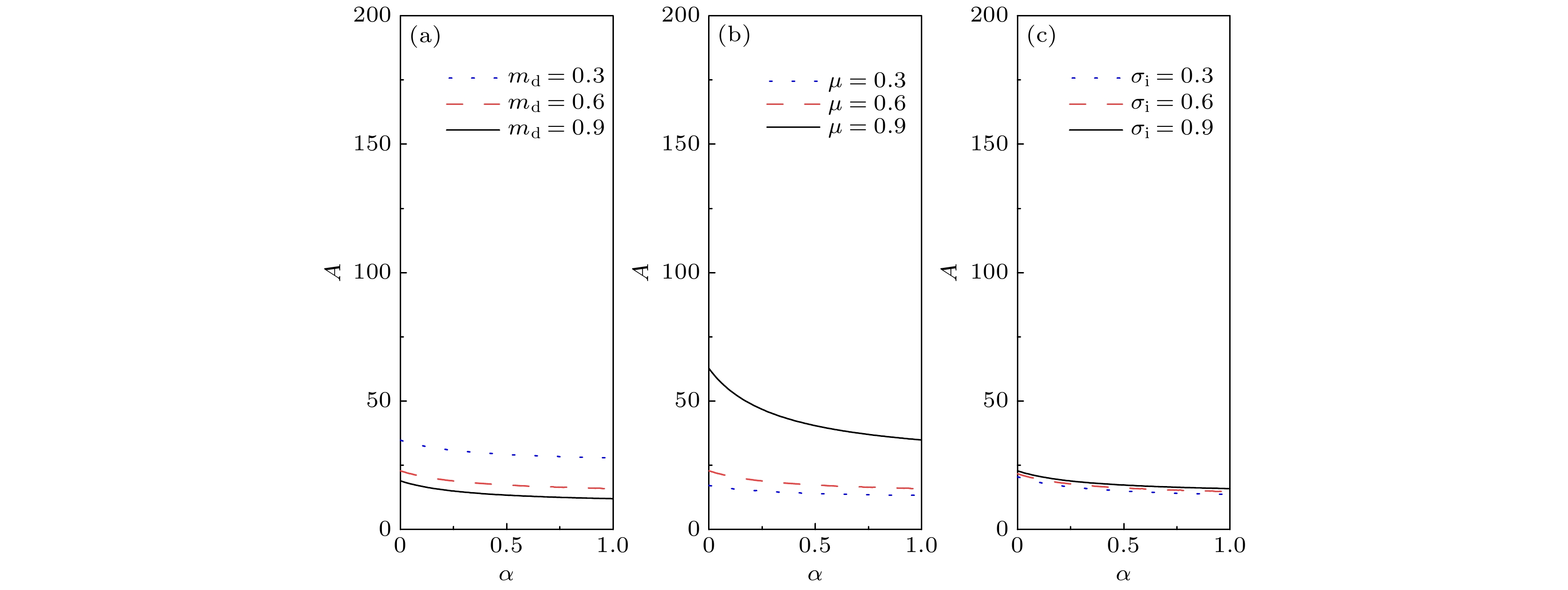
The propagation characteristics of (2 + 1) dimensional nonlinear dust acoustic solitary wave in an unmagnetized hot dusty plasma composed of dust particles, electrons and nonthermal ions are studied in the paper. Firstly, the Kadomtsev-Petviashvili (KP) equation, which is used to describe the (2 + 1) dimensional nonlinear dust acoustic solitary wave, is derived by the reduced perturbation method, and the phase diagram and the Sagdeev potential equation of the system are obtained by using the traveling wave solution method. Then, the effects of different parameters in the hot dusty plasma system on the nonlinear coefficient, dispersion coefficient of the KP equation, system phase diagrams, Sagdeev potential function and the solitary wave solution in isothermal and adiabatic states are discussed by using numerical simulation and analysis method of mathematical software. Finally, the results show that the mass of dust particles, temperature, number density and distribution state of electrons and nonthermal ions have important effects on the amplitude, width and waveform of the nonlinear dust acoustic solitary wave under isothermal and adiabatic conditions.