搜索

x

留言板

姓名
邮箱
手机号码
标题
留言内容
验证码

downloadPDF
引用本文:
Citation:

    郑雅欣, 那仁满都拉

    Acoustic cavitation characteristics of bubble in compressible liquid

    Zheng Ya-Xin, Naranmandula
    PDF
    HTML
    导出引用
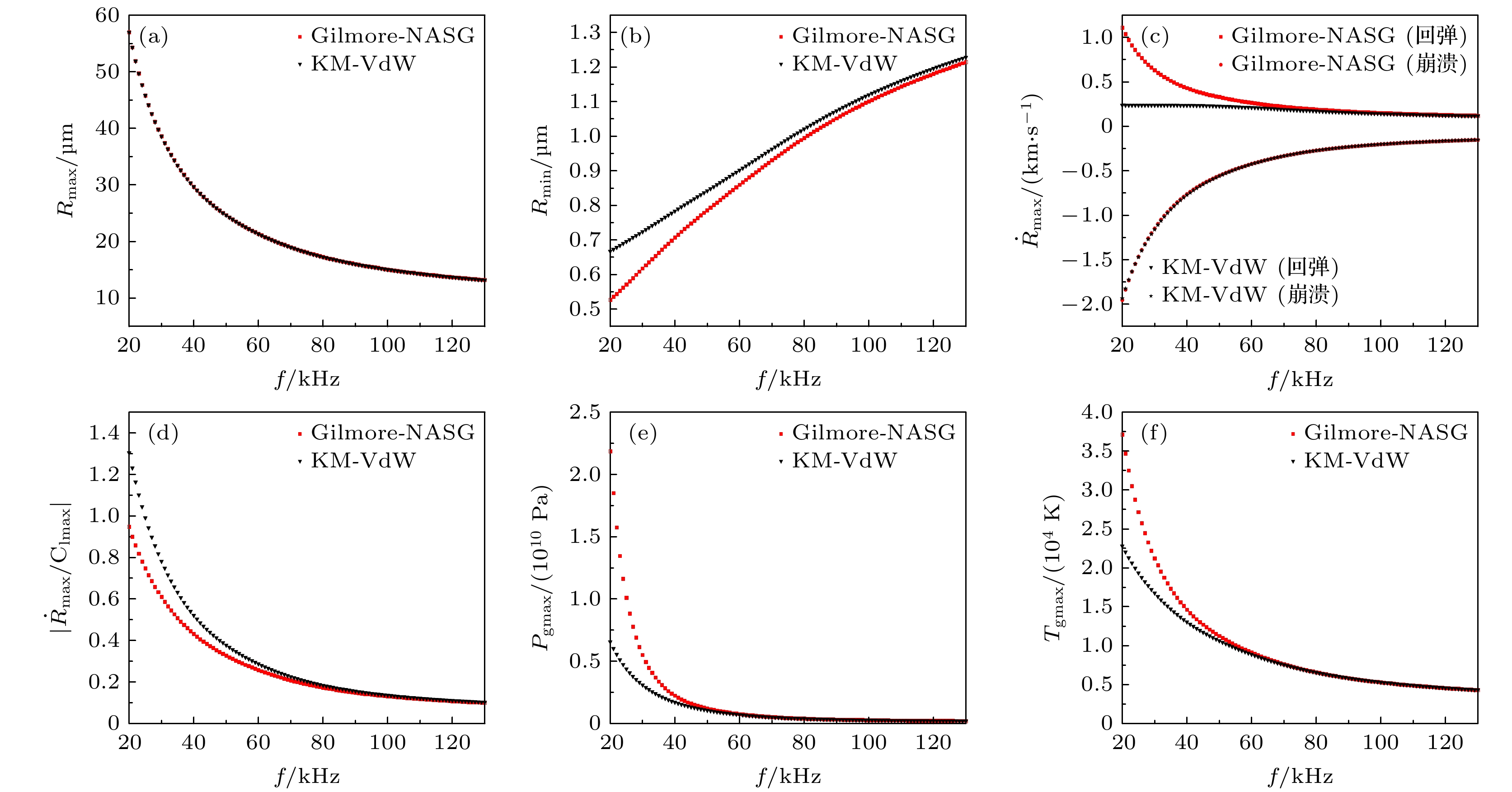
    • 利用新提出的Gilmore-NASG模型, 在考虑液体可压缩效应的边界条件下, 研究了, 并与利用原有KM-VdW模型计算得到的结果进行了比较. 结果表明, 相比于KM-VdW模型, 由于Gilmore-NASG模型采用新的状态方程来描述气体、液体以及由可压缩性引起的液体密度变化及声速变化, 所以用Gilmore-NASG模型得到的空化气泡的压缩比更大、崩溃深度更深、温度和压力峰值更高. 随着驱动声压幅值的增大, 两种模型给出的结果差别愈加明显, 而随着驱动频率的增大, 两种模型给出的结果差别逐渐减小. 这表明, 在充分考虑泡内气体、周围液体在不同温度和压强下共体积的变化所导致的介质可压缩特性下, 气泡内的温度和压强可能达到更高值. 同时, Gilmore-NASG模型还预测出了气泡壁处液体的密度变化、压力变化、温度变化以及液体中的声速变化. 因此, Gilmore-NASG模型在研究高压状态下气泡的空化特性以及周围液体对气泡空化特性的影响方面具有优点.
      The newly proposed Gilmore-NASG model is used to study the acoustic cavitation characteristics of bubble in compressible liquid under the boundary condition of considering the compressible effect of the liquid, and comparison is made between the results calculated by the Gilmore-NASG model and original KM-VdW model without considering the mass exchange, chemical reaction and heat exchange between the gas in the bubble and the surrounding liquid. The results suggest that, compared with the KM-VdW model, the Gilmore-NASG model which employs a new equation of state to describe the gas, liquid and variations of liquid density and sound velocity due to compressibility, can give a larger compression ratio of cavitation bubble, a deeper collapse depth, higher temperature and pressure peaks. This is mainly because that the co-volume of argon molecule in the NASG equation of state is smaller than that in the VdW equation of state and the effect of the co-volume of water molecule is considered in the NASG equation of state, that is, the Gilmore-NASG model gives more comprehensive consideration to the liquid compressibility. When the bubble collapses violently, the Gilmore-NASG model takes into account the changes of sound velocity caused by the compressibility of the liquid at the bubble wall, effectively avoid the possibility of abnormal increase in the Mach number of the liquid at the bubble wall. With the increase in the driving sound pressure amplitude, the difference between the results given by the two models more and more significantly and the temperature and pressure peaks in the bubble given by the Gilmore-NASG model increase more significantly. With the rise of driving frequency, the difference between the results given by the two models gradually decreases and tends to be consistent under the high-frequency excitation. This indicates that the temperature and pressure in the bubble may arrive at higher values considering the compressibility of the medium caused by the co-volume changes of gas and surrounding liquid at different temperatures and pressures. In the meantime, the Gilmore-NASG model can accurately predict the changes in density, pressure and temperature of the liquid at the bubble wall as well as sound velocity, so this model has advantages in the study of bubble cavitation characteristics under high pressure and the effect of surrounding liquid on bubble cavitation characteristics. There will be important applications for the research on specific issues such as high-intensity focused ultrasound, shock wave lithotripsy treatment and sonochemistry.
          通信作者:那仁满都拉,nrmdlbf@126.com
        • 基金项目:国家自然科学基金(批准号: 11462019)资助的课题
          Corresponding author:Naranmandula,nrmdlbf@126.com
        • Funds:Project supported by the National Natural Science Foundation of China (Grant No. 11462019)
        [1]

        [2]

        [3]

        [4]

        [5]

        [6]

        [7]

        [8]

        [9]

        [10]

        [11]

        [12]

        [13]

        [14]

        [15]

        [16]

        [17]

        [18]

        [19]

        [20]

        [21]

        [22]

        [23]

        [24]

        [25]

        [26]

        [27]

        [28]

        [29]

        [30]

        [31]

        [32]

      • 参数 单位
        环境密度$\rho_{\rm{l0}}$ 998 ${\rm{kg} }{\cdot} {\rm{m} }^{-3}$
        $\rho_{\rm{g0}}$ 1.784 ${\rm{kg} }{\cdot}{\rm{m} }^{-3}$
        环境压力$P_{\rm{l0}}$ 101325 Pa
        $P_{\rm{g0}}$ 101325 Pa
        表面张力σ 0.070 ${\rm{N} }{\cdot} {\rm{m} }^{-1}$
        切变黏滞系数η 0.001 ${\rm{Pa} }{\cdot} {\rm{s} }$
        体积黏滞系数λ 0.0041 ${\rm{Pa} }{\cdot} {\rm{s} }$
        环境声速$C_{\rm{l}}$ 1483 ${\rm{m} } {\cdot} {\rm{s} }^{-1}$
        环境温度$T_{\rm{l0}}$ 300 K
        $T_{\rm{g0}}$ 300 K
        分子共体积$b_{\rm{l}}$ $6.6766\times 10^{-4}$ ${\rm{m} }^3{\cdot} {\rm{kg} }^{-1}$
        $b_{\rm{g}}$ $4.778\times 10^{-4}$ ${\rm{m} }^3{\cdot}{\rm{kg} }^{-1}$
        压力常数$B_{\rm{l}}$ $6.1534\times 10^8$ Pa
        $B_{\rm{g}}$ 0 Pa
        多方指数$\varGamma_{\rm{l} }$ 1.19
        $\varGamma_{\rm{g} }$ 1.67
        注: 水的体积黏滞系数λ的取值参考了文献[25].
        下载: 导出CSV

        参数 单位
        环境密度$ \rho_{{\rm{l}}} $ 998 ${\rm{kg} }{\cdot} {\rm{m} }^{-3}$
        环境压力$ P_{\rm{g0}} $ 101325 Pa
        表面张力σ 0.070 ${\rm{N} }{\cdot}{\rm{m} }^{-1}$
        切变黏滞系数η 0.001 ${\rm{Pa} }{\cdot} {\rm{s} }$
        体积黏滞系数λ 0.0041 ${\rm{Pa} }{\cdot} {\rm{s} }$
        环境声速$ C_{\rm{l}} $ 1483 ${\rm{m} }{\cdot} {\rm{s} }^{-1}$
        环境温度$ T_{\rm{g0}} $ 300 K
        范德瓦耳斯常数a 0.1345 ${\rm{Pa} }{\cdot} {\rm{m} }^{6}{\cdot} {\rm{mol} }^{-2}$
        b $ 3.219\times 10^{-5} $ ${\rm{m} }^{3}{\cdot} {\rm{mol} }^{-1}$
        摩尔数m $ 2.02339\times 10^{-14} $
        多方指数$\varGamma_{\rm{g} }$ 1.67
        下载: 导出CSV
      • [1]

        [2]

        [3]

        [4]

        [5]

        [6]

        [7]

        [8]

        [9]

        [10]

        [11]

        [12]

        [13]

        [14]

        [15]

        [16]

        [17]

        [18]

        [19]

        [20]

        [21]

        [22]

        [23]

        [24]

        [25]

        [26]

        [27]

        [28]

        [29]

        [30]

        [31]

        [32]

      • [1] 马平, 韩一平, 张宁, 田得阳, 石安华, 宋强.高超声速类HTV2模型全目标电磁散射特性实验研究. 必威体育下载 , 2022, 71(8): 084101.doi:10.7498/aps.71.20211901
        [2] 田宝贤, 王钊, 胡凤明, 高智星, 班晓娜, 李静.“天光一号”驱动的聚苯乙烯高压状态方程测量. 必威体育下载 , 2021, 70(19): 196401.doi:10.7498/aps.70.20210240
        [3] 郑雅欣, 那仁满都拉.. 必威体育下载 , 2021, (): .doi:10.7498/aps.70.20211266
        [4] 张其黎, 张弓木, 赵艳红, 刘海风.氘、氦及其混合物状态方程第一原理研究. 必威体育下载 , 2015, 64(9): 094702.doi:10.7498/aps.64.094702
        [5] 贾果, 黄秀光, 谢志勇, 叶君建, 方智恒, 舒桦, 孟祥富, 周华珍, 傅思祖.液氘状态方程实验数据测量. 必威体育下载 , 2015, 64(16): 166401.doi:10.7498/aps.64.166401
        [6] 周洪强, 于明, 孙海权, 何安民, 陈大伟, 张凤国, 王裴, 邵建立.混合物状态方程的计算. 必威体育下载 , 2015, 64(6): 064702.doi:10.7498/aps.64.064702
        [7] 王坤, 史宗谦, 石元杰, 吴坚, 贾申利, 邱爱慈.基于Thomas-Fermi-Kirzhnits模型的物态方程研究. 必威体育下载 , 2015, 64(15): 156401.doi:10.7498/aps.64.156401
        [8] 韩勇, 龙新平, 郭向利.一种简化维里型状态方程预测高温甲烷PVT关系. 必威体育下载 , 2014, 63(15): 150505.doi:10.7498/aps.63.150505
        [9] 蒋国平, 焦楚杰, 肖波齐.高强混凝土气体炮试验与高压状态方程研究. 必威体育下载 , 2012, 61(2): 026701.doi:10.7498/aps.61.026701
        [10] 包特木尔巴根, 宋太平, 崔甲武, 唐高娃.模型参数对奇异星性质的影响. 必威体育下载 , 2011, 60(12): 122101.doi:10.7498/aps.60.122101
        [11] 袁都奇.Fermi气体在势阱中的最大囚禁范围与状态方程. 必威体育下载 , 2011, 60(6): 060509.doi:10.7498/aps.60.060509
        [12] 朱希睿, 孟续军.改进的含温有界原子模型对金的电子物态方程的计算. 必威体育下载 , 2011, 60(9): 093103.doi:10.7498/aps.60.093103
        [13] 宋萍, 蔡灵仓.Grüneisen系数与铝的高温高压状态方程. 必威体育下载 , 2009, 58(3): 1879-1884.doi:10.7498/aps.58.1879
        [14] 王江华, 贺端威.金刚石压砧内单轴应力场对物质状态方程测量的影响. 必威体育下载 , 2008, 57(6): 3397-3401.doi:10.7498/aps.57.3397
        [15] 张 超, 孙久勋, 田荣刚, 邹世勇.氮化硅α,β和γ相的解析状态方程和热物理性质. 必威体育下载 , 2007, 56(10): 5969-5973.doi:10.7498/aps.56.5969
        [16] 过增元, 曹炳阳, 朱宏晔, 张清光.声子气的状态方程和声子气运动的守恒方程. 必威体育下载 , 2007, 56(6): 3306-3312.doi:10.7498/aps.56.3306
        [17] 田春玲, 刘福生, 蔡灵仓, 经福谦.多体相互作用对高压固氦状态方程的影响. 必威体育下载 , 2006, 55(2): 764-769.doi:10.7498/aps.55.764
        [18] 姜旻昊, 孟续军.用Hartree-Fock-Slater-Boltzmann-Saha模型研究等离子体细致组态原子结构及其状态方程. 必威体育下载 , 2005, 54(2): 587-593.doi:10.7498/aps.54.587
        [19] 田春玲, 刘福生, 蔡灵仓, 经福谦.四体相互作用对固氦压缩特性的贡献. 必威体育下载 , 2003, 52(5): 1218-1221.doi:10.7498/aps.52.1218
        [20] 黄秀光, 罗平庆, 傅思祖, 顾援, 马民勋, 吴江, 何钜华.一种激光驱动高压状态方程绝对测量方法的探索. 必威体育下载 , 2002, 51(2): 337-341.doi:10.7498/aps.51.337
      计量
      • 文章访问数:4100
      • PDF下载量:103
      • 被引次数:0
      出版历程
      • 收稿日期:2021-07-07
      • 修回日期:2021-09-08
      • 上网日期:2021-12-22
      • 刊出日期:2022-01-05

        返回文章
        返回
          Baidu
          map