Aluminum is widely used as an additive in solid rocket propellants and pyrotechnics due to its outstanding characteristics such as high energy density and combustion temperature, environmentally benign products, and good stability. Recently, aluminum powders are found to present great potential serving as alternative fuel in a low-carbon economy. In this paper, a detailed model including the effects of interphase heat transfer, phase change, heterogeneous surface reactions, homogeneous combustion and radiation is employed to investigate aluminum dust counterflow flames.
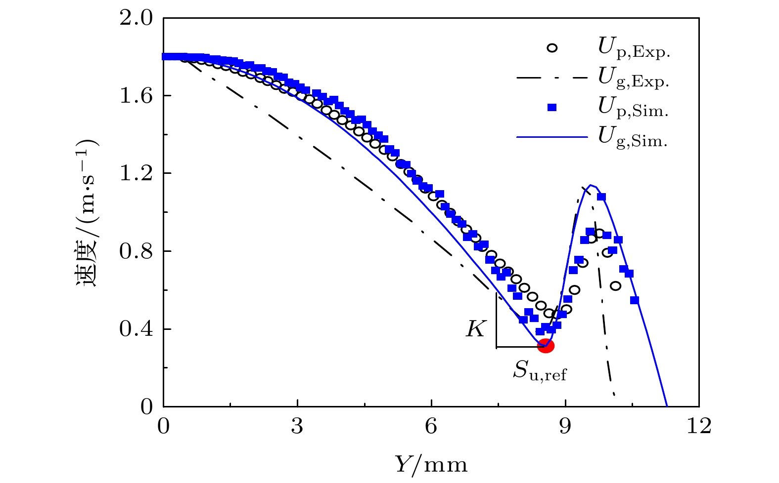
The numerical model is first validated by simulating the aluminum dust counterflow flames of McGill University. The results indicate that the particle velocity profile is in very good agreement with the experimental measurements. A detailed analysis of estimating the gas phase velocity based on the particle velocity is performed by using Stoke time
τ
s. The results show that a correct value of
τ
sis the key to this method, and using a single value of
τ
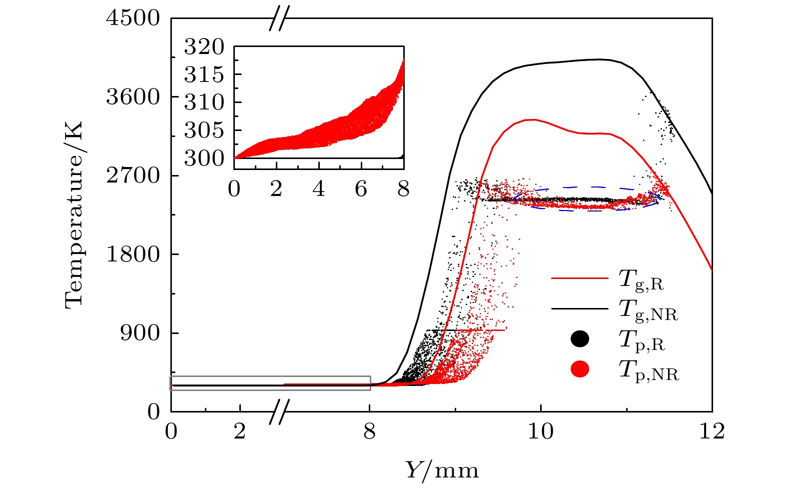
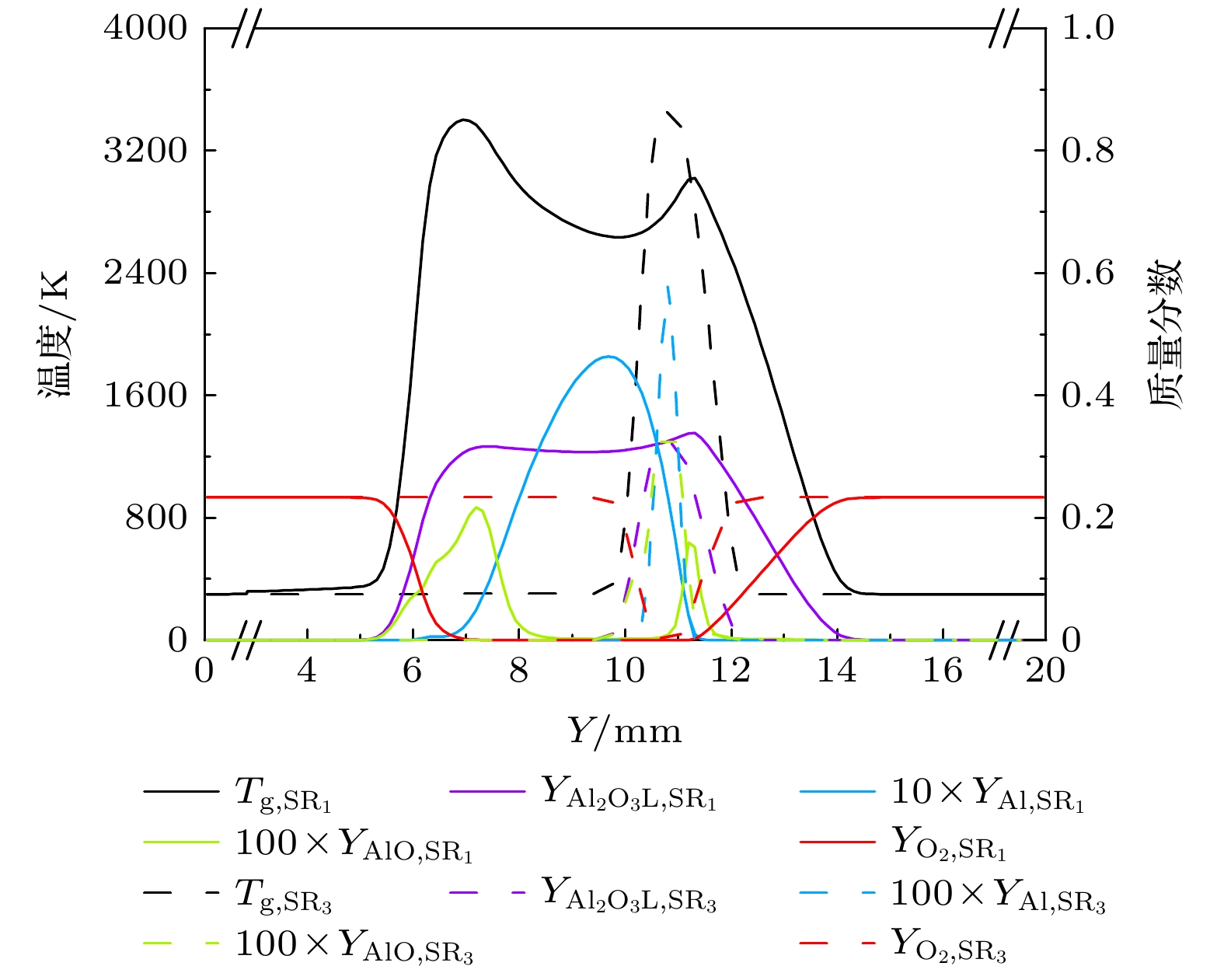
scan bring a notable bias to the results, which may also affect the evaluation of flame speed from the counterflow flame. It is suggested that model validation should be carried out by directly comparing the particle velocity profiles from the simulations with those from the experiments. The flame structure of the aluminum dust counterflow flame is discussed, and the interphase heat transfer model is found to have a great influence on the flame for particle sizes smaller than 10 μm. Therefore, when simulating the aluminum dust flames with small particle sizes, the interphase heat transfer model should be selected carefully so that it can cover the transition heat transfer regime. The effect of particle diameter is examined. With the increase of the particle size, the flame speed continues to decrease, and most particles with a diameter of 15 μm cannot be fully burnt in the present configuration. The strain rate is found to be an important factor affecting the dust flame. As the strain rate increases, the residence time of the particles in the flame zone decreases, which ultimately leads the particles to be combusted incompletely. Moreover, the reaction zone of the counterflow flame, marked as AlO, is observed to be shrunk from a large double-peak structure into a small single-peak one along the burner centerline when strain increases. The reference flame speed increases with strain rate, and an unstretched reference flame speed of roughly 29 cm/s can be obtained by linear extrapolation of the predicted results. The effect of radiation is investigated by comparing two cases with and without radiative heat transfer. The results show that the heat loss caused by radiation can lead the temperature to decrease greatly in the gas phase, but the heating effect on the particles by radiation is relativelysmall.